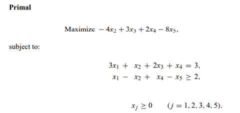
Question: Primal subject to: Maximize 4x2 + 3x3 + 2x4 - 8x5, - 3x1+x2+2x3 + x4 = 3, x1 - X2 + X4 35 >
Primal subject to: Maximize 4x2 + 3x3 + 2x4 - 8x5, - 3x1+x2+2x3 + x4 = 3, x1 - X2 + X4 35 > 2, - (j = 1,2,3,4,5).
Step by Step Solution
There are 3 Steps involved in it
Get step-by-step solutions from verified subject matter experts
