Question: Prob # 2 i. f'(x) = (x + 2) (x - 1) ii. f (x) = - (4 - X) 72 iii. f(1) = 0

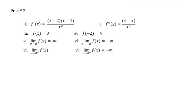
Prob # 2 i. f'(x) = (x + 2) (x - 1) ii. f" (x) = - (4 - X) 72 iii. f(1) = 0 iv. f(-2) = 4 v. lim f (x) = 00 vi. lim f(x) = -co X-+00 X4 -00 vi. lim f(x) vi. lim f(x) = -co x- 0+ X-0
Step by Step Solution
There are 3 Steps involved in it
Get step-by-step solutions from verified subject matter experts
