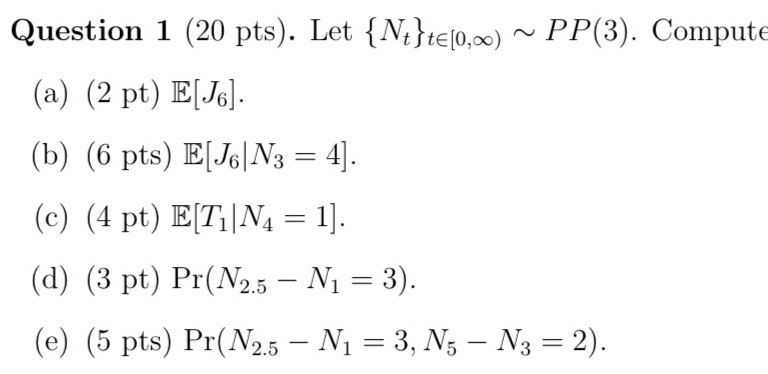
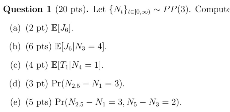
Question: Probability Question 1 (20 pts). Let {Nt}tejo,0.) ~ PP(3). Compute (a) (2 pt) E[Jo]. (b) (6 pts) E[J6|N3 = 4]. (c) (4 pt) E[Ti|N4 =

Probability
![(2 pt) E[Jo]. (b) (6 pts) E[J6|N3 = 4]. (c) (4 pt)](https://s3.amazonaws.com/si.experts.images/answers/2024/06/66748ae826a3a_76866748ae808a59.jpg)
Question 1 (20 pts). Let {Nt}tejo,0.) ~ PP(3). Compute (a) (2 pt) E[Jo]. (b) (6 pts) E[J6|N3 = 4]. (c) (4 pt) E[Ti|N4 = 1]. (d) (3 pt) Pr(N2.5 - N1 = 3). (e) (5 pts) Pr(N2.5 - N1 = 3, N5 - N3 = 2)
Step by Step Solution
There are 3 Steps involved in it
Get step-by-step solutions from verified subject matter experts
