Question: Probability Using the table above, what is the experimental probability of each colored chocolate nips? Solutions: A. Experimental Probability of orange nips = number of
Probability




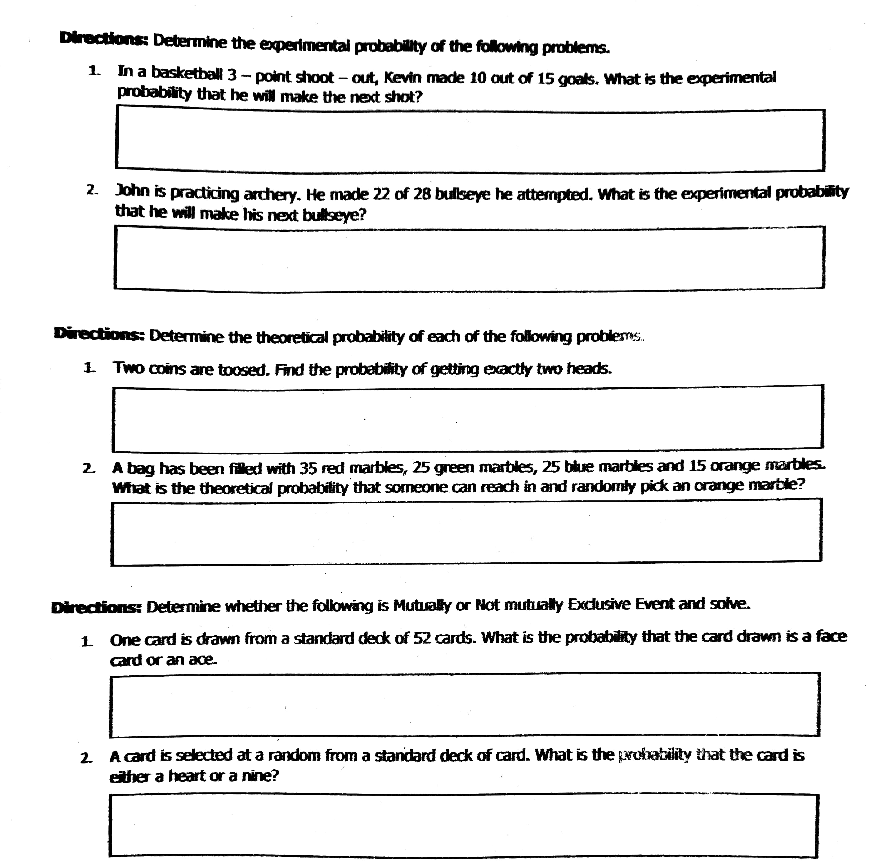
Using the table above, what is the experimental probability of each colored chocolate nips? Solutions: A. Experimental Probability of orange nips = number of times andrent occurs = go total number of trials 30 B. Experimental Probability of blue nips = number of times an event occurs total number of trials 30 = 0.2667 C. Experimental Probability of green nips = number of times an event occurs 30 = 0 total number of trials Theoretical Probability is the ratio of the number of ways that an event can occur to the total number of outcomes when each outcome is equally likely to occur. The probability of event E, denoted by P(E) is P(Event) - Number of ways E can occur number of possible outcomes in the sample space P(E) - n(E) n(S) where n(E) and n(S) are the number of ways E can occur and the sample space S, respectively. Example: A bag contains 20 red marbles, 18 blue marbles and 12 yellow marbles. Find the theoretical probability of getting a blue marble. Solution: There are 18 blue marbles. Therefore, the number of ways E can occur = 18. Th There are total of 50 marbles. Therefore, sample space = 50 P(Event) = 1(E) n (S ) P(Blue Marble) = 18 or 36% Mutually Exclusive Event is an event that cannot happen at the same time. Examples: 1. Tossing a coin: Head and Tails 2. Drawing a red card or drawing a club 3 . Rolling a number divisible by 2 or rolling a number that is a multiple of 5 Not Mutually Exclusive Event is an event that can happen at the same time. Examples: 1 . Queen and diamonds (we have a Queen of Diamond) 2 . Drawing a black card or drawing an ace. 3. Rolling a number divisible by 4 or rolling an even number. Probability of Mutually Exclusive Events Two events or subsets of a sample space are said to be mutually exclusive if their intersection is empty. Theorem: If A and B are mutually exclusive events, then P(A U B) = P(A) + P(B) For any two events A and B of the same experiment, which are not mutually exclusive, the probability of the union of A and B is P(A U B) = P(A) + P(B) - P(A n B)Directions: Determine the experimental probability of the following problems. 1. In a basketball 3 - point shoot - out, Kevin made 10 out of 15 goals. What is the experimental probability that he will make the next shot? 2. John is practicing archery. He made 22 of 28 bullseye he attempted. What is the experimental probability that he will make his next bullseye? Directions: Determine the theoretical probability of each of the following problems. 1. Two coins are toosed. Find the probability of getting exactly two heads. 2. A bag has been filled with 35 red marbles, 25 green marbles, 25 blue marbles and 15 orange marbles. What is the theoretical probability that someone can reach in and randomly pick an orange marble? Directions: Determine whether the following is Mutually or Not mutually Exclusive Event and solve. 1. One card is drawn from a standard deck of 52 cards. What is the probability that the card drawn is a face card or an ace. 2. A card is selected at a random from a standard deck of card. What is the probability that the card is either a heart or a nine?ACTIVITY NO.6: JOURNAL WRITING Directions: Explain the quotes. Relate this in your real-life situation It is very certain that, when it is not in our power to determine what is true, we ought to act according to what is most probable. " Rene Descartes" Think a hundred times before you decide because life is a school of probability, You will never know what wil pen, will it be favourable r unfavourable to you.ACTIVITY NO.5: PROBLEM ANALYSIS The Fundamental Principle of Counting states that if one thing can occur in m ways and a second thing can occur In n ways, and a third thing can occur in p ways and so on, then the sequence of things can be occurred In my n xp ... ways 6 different lady's shirt x 4 different skirts x 5 different sneakers = 120 different Example 1: How many 3 - digit numbers can be formed in number 1 - 9 if repetition of the digits is not allowed? If repetition of the digit is allowed? Solutions: We can use the box method to represents the 5 digits. We can put number 9 in the first box, then 8 In the second box and 7 number In the third box since repetitions of the digit is not allowed. 504 repetition is not allowed 729 repetition is allowed Example 2: In how many ways can a clown distribute 8 balloons to six different children? If each child gets one balloon. Solutions: There are 8 choices for the first child, 7 choices for the second child, 6 choices for the third child, 5 choices to the fourth child, 4 choices for the fifth child, and 3 choices for the sixth child. Therefore, (8) x (7) x (6) x (5) x (4) x (3) = 20, 160 ways Example 3: If there are 12 doors to a room, in how many ways can a person enter one door and leave by a different door? Solutions: 12 choices to enter and 11 choices to exit. Therefore (12) x (11) = 132 ways Example 4: How many license plates are there if a plate consists of 3 letters from the English alphabet followed by 3 numbers If the letters and numbers can be repeated? If the letters and numbers can't be repeated? Solutions: There are 26 choices for each of the 3 letters and 10 choices for each of the numbers. Therefore (26) x (26) x (26) x (10) x (10) x (10) = 17, 576, 000 possible license plates are there consisting of 3 letters followed by 3 numbers if repetition of he letters and numbers are allowed. If repetition of the letters and numbers is not allowed then, we have 26 choices for the first letter, 25 choices for the second letter, 24 choices for the third letter, 10 choices for the first number, 9 choices for the second number and 8 choices for the third number. Therefore, we have 11, 232, 000 possible license plates. 26 x 25 x 24 x 10 x 9 x 8 = 11, 232, 000 plates Directions: Read the following situations carefully then answer all the questions. 1. Nora has 8 kinds of plates, 2 kinds of glasses, 4 kinds of fork and spoon and 3 kinds of table napkin. How many different appearances can a place setting have? 2. Dumagult is hosting a game night. There are 6 card games, 8 board games to choose from and 4 puzzle games. If Dumaguilt and his friends want to play one of each type of game, in how many ways can they choose the games? 3. s used more than once? Experimental Probability Is how many times an event occurs divided by the total number of trials. Experimental Probability - Number of times an event occurs Total number of trials Example: Maddie Is eating a chocolate nips. She wondered how many colors of each type are there in a pack. Can she get green color chocolate nips? She performed an experiment and recorded the data as follows; Color Blue Yellow Orange Violet Red Green Number of each color 1 8 5 6 4 0
Step by Step Solution
There are 3 Steps involved in it
Get step-by-step solutions from verified subject matter experts
