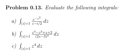
Question: Problem 0 . 1 3 . Evaluate the following integrals: a | z | = 1 e - z 2 z - i 2 d
Problem Evaluate the following integrals:
Step by Step Solution
There are 3 Steps involved in it
1 Expert Approved Answer
Step: 1 Unlock
Question Has Been Solved by an Expert!
Get step-by-step solutions from verified subject matter experts
Step: 2 Unlock
Step: 3 Unlock
