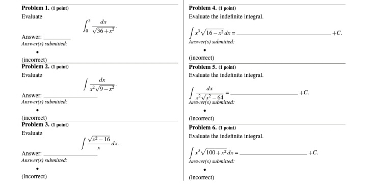
Question: Problem 1. (1 point) Problem 4. (1 point) Evaluate Evaluate the indefinite integral. dx V36+x xV16-x'dx= +C. Answer: Answer(s) submissed: Answer(s) submined: (incorrect) (incorrect) Problem

Problem 1. (1 point) Problem 4. (1 point) Evaluate Evaluate the indefinite integral. dx V36+x xV16-x'dx= +C. Answer: Answer(s) submissed: Answer(s) submined: (incorrect) (incorrect) Problem 2. (1 point) Problem 5. (1 point) Evaluate Evaluate the indefinite integral. x19-x x +C. Answer: XVx-64 Answer(s) submitted: Answer s) submitted: (incorrect) (incorrect) Problem 3. (1 point) Problem 6. (1 point) Evaluate Vx- - 16 Evaluate the indefinite integral. d.x. X Answer: x100 + x'dx= +C. Answer(s) submitred: Answer(s) submined: (incorrect) (incorrect)
Step by Step Solution
There are 3 Steps involved in it
Get step-by-step solutions from verified subject matter experts
