Question: Problem 1 : 2 - D Heat Conduction Element ( 1 8 Points ) The scalar two - dimensional heat conduction strong form can be
Problem : D Heat Conduction Element Points
The scalar twodimensional heat conduction strong form can be stated as follows for a domain A and twopart boundary:
Show that the weak form for this boundary value problem can be expressed as below. Let be the weighting function. Specify the appropriate degree of continuity and any prescribed conditions for the trial temperature field and the weighting function Hint: like some the problems in an open book exam, the solutions may be inferred from the textbook ie check the headings Nonetheless, I ask you to verify it so show the steps.
Find TinS such that for all weighting functions winV :
wQdA
Let the finite element approximation for the temperature and weighting function be:
~~
~~
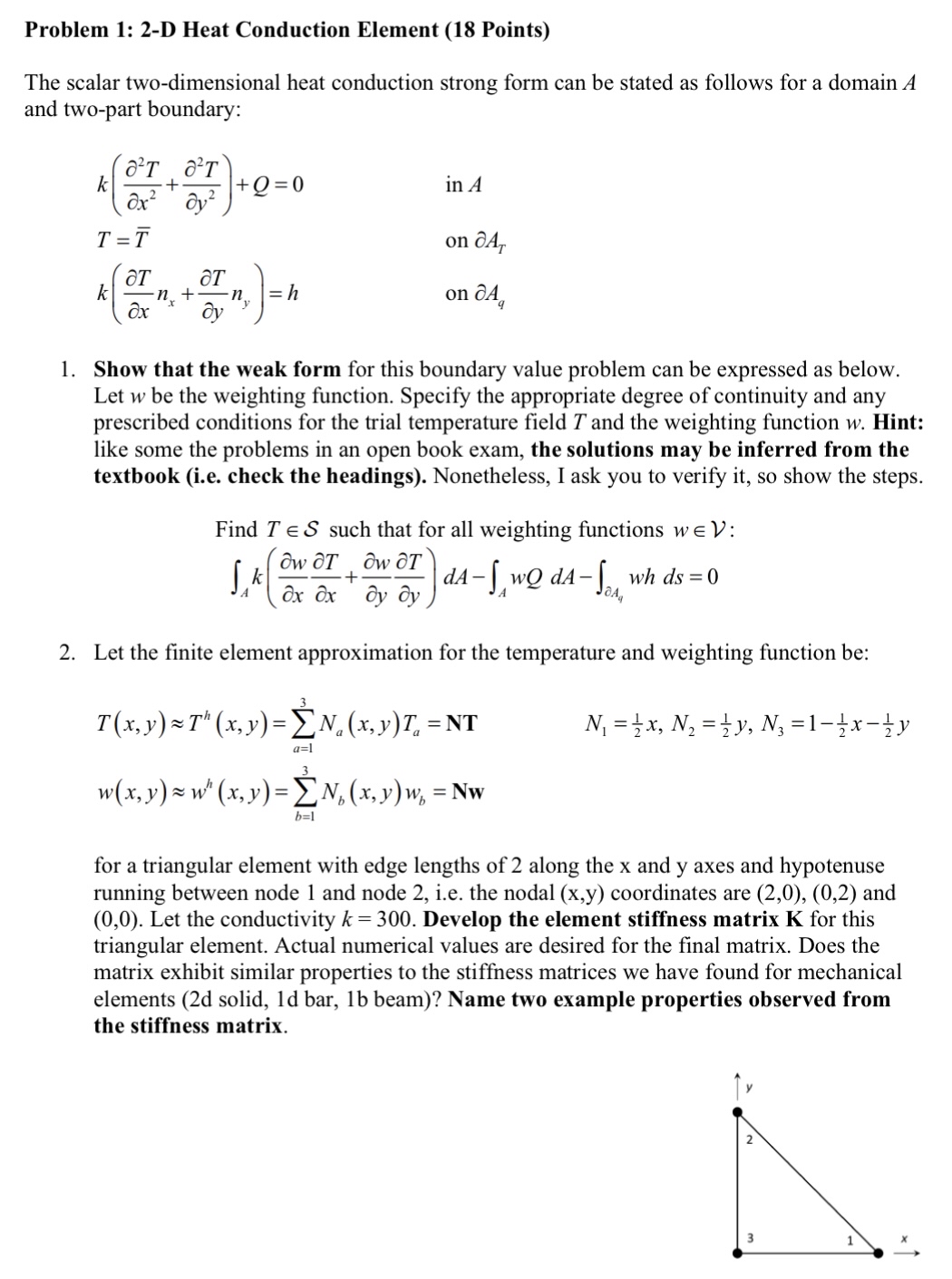
for a triangular element with edge lengths of along the x and y axes and hypotenuse running between node and node ie the nodal coordinates are and Let the conductivity Develop the element stiffness matrix for this triangular element. Actual numerical values are desired for the final matrix. Does the matrix exhibit similar properties to the stiffness matrices we have found for mechanical elements d solid, d bar, b beam Name two example properties observed from the stiffness matrix.
Step by Step Solution
There are 3 Steps involved in it
1 Expert Approved Answer
Step: 1 Unlock
Question Has Been Solved by an Expert!
Get step-by-step solutions from verified subject matter experts
Step: 2 Unlock
Step: 3 Unlock
