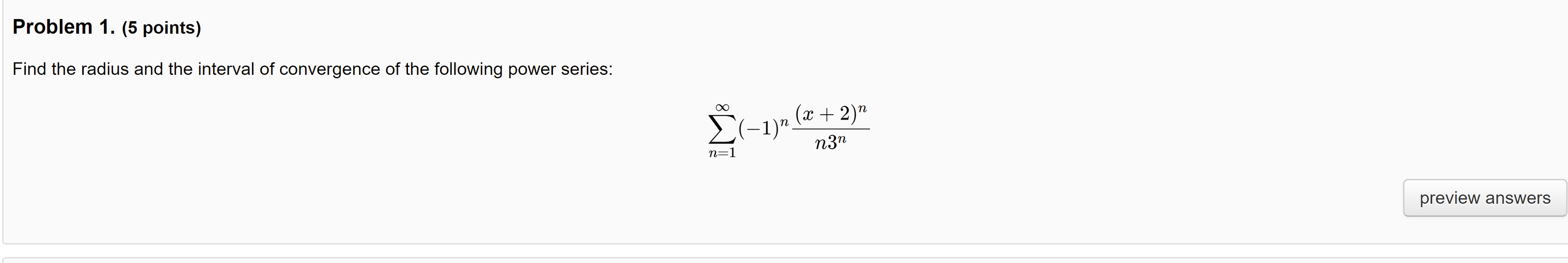
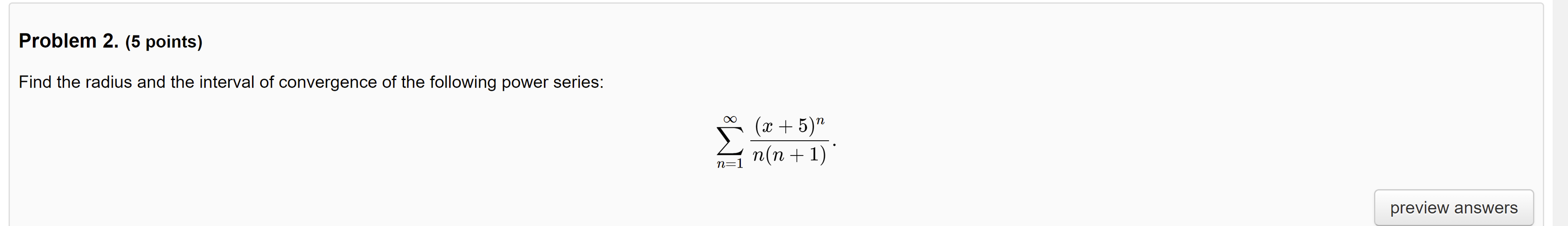
Question: Problem 1. (5 points) Find the radius and the interval of convergence of the following power series: ' preview answers Problem 2. (5 points) Find


Problem 1. (5 points) Find the radius and the interval of convergence of the following power series: ' preview answers Problem 2. (5 points) Find the radius and the interval of convergence of the following power series: i: (av + 5)\" \":1 n(n + 1) A preview answers
Step by Step Solution
There are 3 Steps involved in it
Get step-by-step solutions from verified subject matter experts
