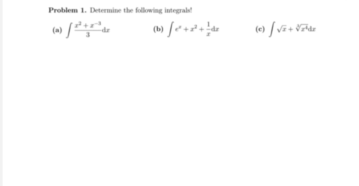
Question: Problem 1 . Determine the following integrals! ( a ) x 2 + x - 3 3 d x ( b ) e x +
Problem Determine the following integrals!
a
b
c
Step by Step Solution
There are 3 Steps involved in it
1 Expert Approved Answer
Step: 1 Unlock
Question Has Been Solved by an Expert!
Get step-by-step solutions from verified subject matter experts
Step: 2 Unlock
Step: 3 Unlock
