Question: Problem (1) Evaluate the improper integral Problem (2) Which of the following equations corresponds to the slope field pictured below? (i) 1-y2 (ii) 1 +


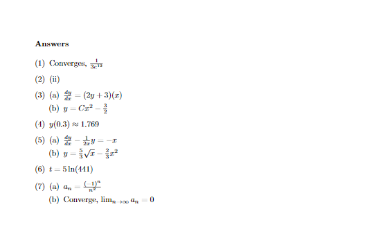
Problem (1) Evaluate the improper integral Problem (2) Which of the following equations corresponds to the slope field pictured below? (i) 1-y2 (ii) 1 + 32 (iii) 2 -2 -2 -1 0 2 Rogawski et al., Calculus, 4e, @ 2019 W. H. Freeman and Company Problem (3) (a) Show that the following differential equation is separable: dy - 2y = 3 (b) Use separation of variables to find the general solution of the differential equation in part (a), show all of your work. No credit for using the method of integrating factors! Problem (4) Let y(t) be the solution of # - y - t satisfying y(0) = 1. Use Euler's Method with h =0.1 to estimate y(0.3). Problem (5) (a) Write the differential equation = _ - I in the form + + P(x)y = Q(x). (b) Using the integrating factor a(x) = el P(2) find the solution to the differential equation in (a) satisfying the initial condition y(1) =1. You must use the method of integrating factors to receive credit! Problem (6) A lake has a carrying capacity of 1000 fish. Assume that the fish population grows logistically with growth constant k - 0.2days . How many days will it take for the population to reach 900 fish if the initial population is 20 fish? Problem (7) (a) Let the sequence (on} - {7, 1, 7, -..}. Find a formula for an. (b) Determine whether fan} converges or diverges. If it converges, find lima so un- Hint: If f(x) - 00 24 1 4 00, then { D" -0 18 1 + 00.Answers (1) Converges, Fell 1 (2) (ii) (3) (a) - (27+3)(x) (b) y = Cr' - (4) y(0.3) = 1.760 (5) (a) & - LY= 1 (6) t = 51(141) (7) (a) an = [U" (b) Converge, lim, seo da = 0
Step by Step Solution
There are 3 Steps involved in it
Get step-by-step solutions from verified subject matter experts
