Question: Problem 1. Use the Main Limit Theorem on page 68 of your textbook to evaluate the following limits. Make one move at a time and






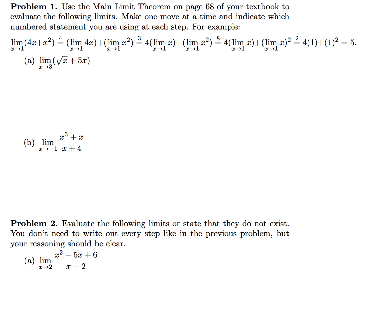
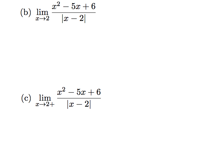
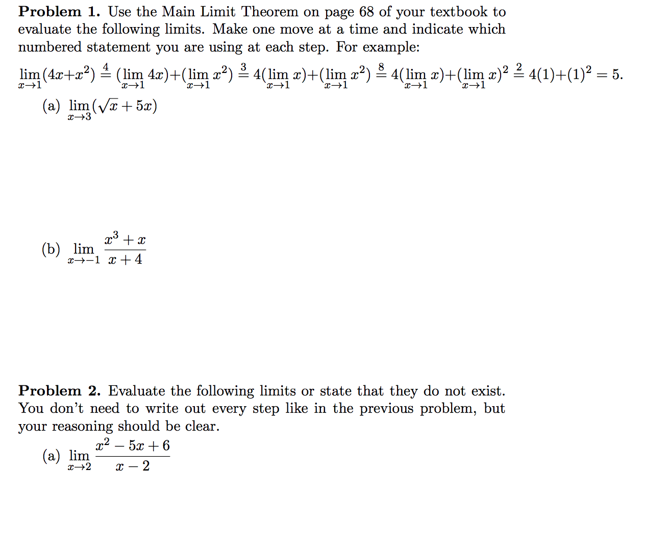
Problem 1. Use the Main Limit Theorem on page 68 of your textbook to evaluate the following limits. Make one move at a time and indicate which numbered statement you are using at each step. For example: 8 ma 1 3} 1 msl 37} 1 32%1 sic>1 (a) algae/m 5m) (b) ail1:131 a: + 4 Problem 2. Evaluate the following limits or state that they do not exist. You don't need to write out every step like in the previous problem, but your reasoning should be clear. (a) I'm 9:2 5:19 +6 32:2 LII2 lim(4m+a:2) i (9% 4m)+(lim :32) i 4(lim m)+(lim m2) = 4(1im m)+(lim m)2 % 4(1)+(1)2 = 5. 2 - 5x +6 (b) lim |ac - 2 x2 - 5x + 6 (c) lim x-2+ ac - 21Problem 3. Suppose that you are given a rope of total length 4 units which you can use to form the perimeter of a rectangle. Call a: and y to be the side lengths (see picture). y (a) What is the length of the side y in terms of m. (b) Give a formula for A(m), the area of the rectangle. (c) What is the limit of A(a:) as m > 0? (d) What is the limit of the ratio between the area A(m) and the side length a: as a: > 0
Step by Step Solution
There are 3 Steps involved in it
Get step-by-step solutions from verified subject matter experts
