Question: Problem 2. (50 pts) Consider the following problem Z= 2x + 7x2 3x3, Maximize subject to * + 3x2 + 4x3 = 30 + X


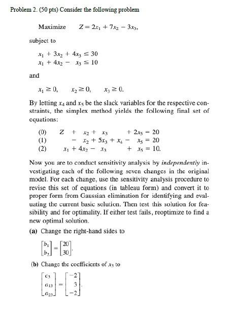
Problem 2. (50 pts) Consider the following problem Z= 2x + 7x2 3x3, Maximize subject to * + 3x2 + 4x3 = 30 + X + 4x2 X3 5 10 and Z + x 20. X220, x 20. By letting xa and xs be the slack variables for the respective con- straints, the simplex method yields the following final set of cquations: (0) x2 + x3 + 2x5 - 20 (1) *2 + 5x3 + x4 As = 20 (2) X1 + 4x2 - X3 + X's = 10. Now you are to conduct sensitivity analysis by independently in. vestigating cach of the following seven changes in the original model. For each change, use the sensitivity analysis procedure to revise this set of equations in tableau form) and convert it to proper form from Gaussian elimination for identifying and eval. uating the current basic solution. Then test this solution for fea- sibility and for optimality. If either test fails, reoptimize to find a new optimal solution (a) Change the right-hand sides to (b) Change the coefficients of xato C3 -2 013 = 022 (c) Change the coefficients of x, to C1 4 011 Laul = 3 2 (d) Introduce a new variable x6 with coefficients -3 C6 216 1 6- 2 (e) Change the objective function to 2 = x1 + 5x2 - 2x3. (f) Introduce a new constraint 3x + 2x2 + 3x3 = 25. (g) Change constraint 2 to 11 + 2x2 + 213 = 35
Step by Step Solution
There are 3 Steps involved in it
1 Expert Approved Answer
Step: 1 Unlock
Question Has Been Solved by an Expert!
Get step-by-step solutions from verified subject matter experts
Step: 2 Unlock
Step: 3 Unlock
