Question: Problem 2 Alpha-Beta Pruning. 2.a Consider the following game tree. Player Max wants to maximize its minimax value, and player Min wants to minimize its
Problem 2 Alpha-Beta Pruning.
2.a Consider the following game tree. Player Max wants to maximize its minimax value, and player Min wants to minimize its minimax value. Assume that the nodes are examined in left-to-right order. Circle the leaf nodes that will be pruned by Alpha-Beta pruning. Show your work on the graph.

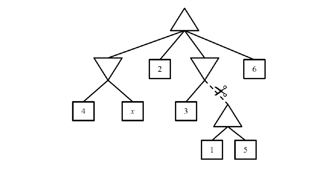
2.b In the following tree, upward-pointing triangle is player MAX, downward-pointing triangle is player MIN, and the squares are leaf nodes. The leaf nodes are visited from left to right. For which values of the dashed branch with the scissors will be pruned by Alpha-Beta pruning? Note that is a continuous variable (takes continuous values instead of only integers). Show your work on the figure.

Step by Step Solution
There are 3 Steps involved in it
Get step-by-step solutions from verified subject matter experts
