Question: Problem 2. Einstein solid (20 points) The Einstein solid is a model of a crystalline solid that contains a large number of independent three-dimensional quantum


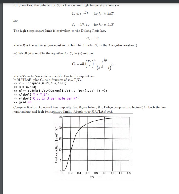
Problem 2. Einstein solid (20 points) The Einstein solid is a model of a crystalline solid that contains a large number of independent three-dimensional quantum harmonic oscillators of the same frequency v. We already derived in class and in Problem Set 3 that, for a one-dimensional quantum harmonic oscillator, the average energy is hu ( = hy ekBT - 1 (a) Show that the total energy of a Einstein solid with Na atoms is 3Nahv E = hu ekBT - 1 and heat capacity is OE hu 2 ekBT Co = aT = 3NakB KBT hu 2 ekBT -1(b) Show that the behavior of C, in the low and high temperature limits is for hu > keT, and Co =3Nakg for hu > x = linspace(0. 01, 1.6,100) ; 3> R = 8.314; >> plot (x, 3*R#1. /x. ^2.*exp(1./x) ./ (exp(1./x)-1).-2) >> xlabel( 'T / T_E' ) >> ylabel( 'C_v, in ] per mole per K' ) >> grid on Compare it with the actual heat capacity (see figure below, 8 is Debye temperature instead) in both the low temperature and high temperature limits. Attach your MATLAB plot. 25 20 15 Heat capacity, in ] mol"! K=1 10 5 0.2 04 0.G 0.8 1.0 1.2 1.4 1.6
Step by Step Solution
There are 3 Steps involved in it
Get step-by-step solutions from verified subject matter experts
