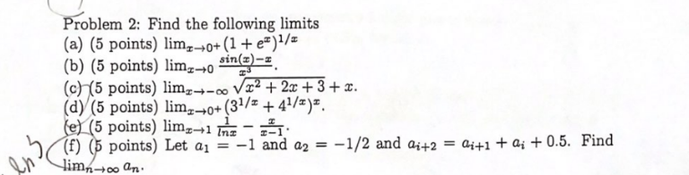
Question: Problem 2 : Find the following limits ( a ) ( 5 points ) lim x 0 + ( 1 + e x ) 1
Problem : Find the following limits
a points
b points
c points
d points
e points
f points Let and and Find
Step by Step Solution
There are 3 Steps involved in it
1 Expert Approved Answer
Step: 1 Unlock
Question Has Been Solved by an Expert!
Get step-by-step solutions from verified subject matter experts
Step: 2 Unlock
Step: 3 Unlock
