Question: Problem 2: International Monetary Policy Cooperation after a Crisis (40 Points) He can use a slightly modified version of the model you analyzed in Homework














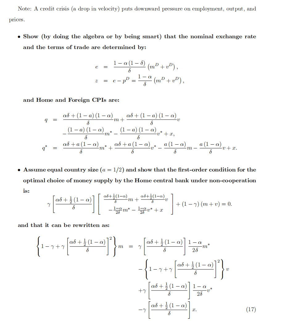
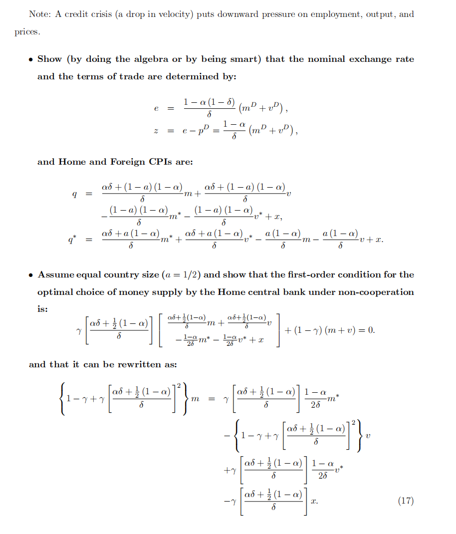
Problem 2: International Monetary Policy Cooperation after a Crisis (40 Points) \"He can use a slightly modified version of the model you analyzed in Homework 4 to study interna- tional monetary policy cooperation in response to a nancial crisis. Suppose we modify the money demand equations for the Home and Foreign countries in the model by introducing money velocities 'v and c)" as follows: m+v = ply, (lo) \"3+1? = p'+y*. (16} Velocity is the rate at which agents in each country dispose of money for transactions. For given money supply, higher velocity translates into higher prices and/or out put. The introduction of velocities z; and z)" is the only change we make to the Homework 4 model. Hence, refer to Homework 4, pages 1 and 2, for the description of the rest of the model. on Assume that velocity in each country is an independently and identically distributed exogenous shock with average value of zero, like the exogenous productivity shock :r in the production function (as for other variables, 1; and 1;\" measure the percent deviations of Home and Foreign money velocity from the zero-shock equilibrium). We take velocity as the indicator of the situation of credit markets: A credit market collapse results in a drop in velocity (negative realizations of both '0 and '0' in a global credit crisis) as agents have an incentive to hold on to liquidity and the number of transactions in the economy drops. As in Homework 4-, assume that Home wage setters chose it! at time 1 to minimize E_1 (r52) / 2, and similarly in Foreign. Also continue to assume that the central bank in each country wants to stabilize CPI and employment at their zero-shock levels, and it minimizes the same loss function as in Homework 4 (bot tom of page 3). a Show that the following results hold in our extended model with velocity shocks (it is enough to show this for one country, say, Home): U5 E_L (m + w] = l), u!" = ELL ('m\" + v") = l}, n m | u, n = mtlv', 3,: = (l rt] (m + v] .;.-, y" (l. rt] (m' | v") .;.- p = (t (m + U] + J7, p\" = (t ('m\" | '6'] -|- .17. Note that there are two ways to show this: one is by using \"brute force\" and doing the algebra, the other is by being smart, thinking carefully about the one change we made relative to the Homework 4 model, and what it should imply [3 for these equations and those in the next bullet relative to results in Homework 4. Feel free to use the smart strategy if you gure it out, but explain it clearly. Note: A credit crisis (a drop in velocity} puts downward pressure on employment t)11tp11t._ and prices. a Show (by doing the algebra or by being smart} that the nominal exchange rate and the terms of trade are determined by: (a. = luafm +vD), D_lrt 6 (m0 + '60) , N = (210 and Home and Foreign CPIs are: (t6+(l(L}(l(t} (t6l (la} (1H)? m I '1 ' a 6 l l - l l - t (1}; tom" ( a}; \"to"! i 3:, (1* = (:6 | al '0'\"? I (:6 +al a)?\" (1(16 (0m (1. (16 a)\" I 3:. a Assume equal country size (a = 1/2} and showr that the rst-order condition for the optinlal choice of money supply by the Home central bank under non-cooperation is: 1 _ ' l _ (t6+% (l rt}:|m5+{1 a)? ral w.\" + (l '}r} (ml v} =1). TELm" 127v\" "' + 'J.' and that it can be rewritten as: 2 (t6+%(l(t}_'}r+'}r m = 1r (t6+%l:l(t} l(t ,( 6 26 m l I (:6 +% (l (E)? . 'r . 1/ 26 b (t6,llrt l(t +1! [2)] 't:* 'Y |:(E6 % (l (0] 3:. (17} Define the following coefficients: do + 7 (1 - 0 ) 12 HN = 1 - yty > 0, HY = Y ad + = (1 - @ ) 1 - a 26 > 0, Ha ad + = (1 - @) > 0. Then, we can rewrite equation (17) as: Him = Hym* - Hiv + H2 0* - H3 x, or: HN HN HN m =- HA HN (18) . Explain the signs of the Home central bank's responses to Foreign money supply, Foreign money velocity, Home money velocity, and the productivity shock. Note: Explain does not mean "state in words." It means explain why the sign is what it is. . Show (by brute force or by being smart, but explaining it) that the foreign central bank's behavior is determined by the reaction function: m*= H2 HN HN HN HA (19) . Show that the Nash equilibrium level of Home money supply is: HN m = -v- HN - H. VI. If you use the expressions for Hi and H2, you can verify that: HN - HN = 1 -ytay ad + 7 (1 -0 ) Take this for granted. I am not asking you to prove it.Taking the expression for Hy into account, it follows that: 06+ = (1-0) m = -v- (20) 1 -ytay ad+ = (1-0) . Show (by brute force or by being smart, but explain it) that the Nash equilibrium level of Foreign money supply is: ad+ (1-Q) m*NV (21) 1-ytay oo+ = (1-Q) . What is the intuition for how the central banks respond to velocity shocks in the Nash equilibrium? . If x = 0, what are the Nash equilibrium values of the central banks' loss functions LCB and LCB*? . What is the intuition for these values? . Show that the first-order condition for the optimal choice of m when the two central banks coordinate their policies (i.e., jointly minimize a combination of the loss functions with weights equal to 1/2) is: ad + = ( 1 - @ ) ad+ (1-0) m + 08+= (1 -0 ) 0 + ( 1 - 7) (m + v ) 1-am* _ Lov* + x - Of ad + = (1 - 0 ) 2m* + 06 + = (1 -a) 1-a 28 26 -m - 1 - a 28 Utz . (22 ) Proceeding as in the non-cooperative case, we can rewrite equation (22) as: Him = Hom* - Hfv + Hov* - HSx,where we define: H = 1 - yty ad + 7 (1 - 0 ) 26 > 0 , HY = Y 06+ (1 - 0 ) 1 - 0 - > 0, = y ad + = (1 - 0) 1 - a 28 This implies the cooperative setting of m according to: H2 HS m = (23) . Show (by using brute force or by being smart, but explaining it) that the first- order condition for the cooperative choice of m* yields: HS m* = 7 jom+ HC CI. (24) . Show (by using brute force or by being smart, but explaining it) that the solution for Home money supply under cooperation (m) is: HC m= -v- Using the expressions for HY and Hy shows that HY - H" = 1 -y (1 -02). Hence, taking Hy = you into account, we have: m =-v- you 1 - y (1 - Q2). . Show (by using brute force or by being smart, but explaining it) that the solution for Foreign money supply under cooperation (m*) is:: m*=-0* - you 1-y (1 - Q2). . Why do the central banks respond to velocity shocks in the same way as they did in the Nash equilibrium?. If x = 0, is there anything to be gained from international monetary cooperation in response to the velocity shocks v and v*? Why? However, the responses to the productivity shock x differ between Nash and cooperative equi- libria. In particular, we can verify that the cooperative responses are less aggressive than the non-cooperative ones (I am not asking you to verify it). . What explains the reduction in policy aggressiveness when central banks coop- erate in responding to x? Now remember what we learned from Ben Bernanke's article on the Great Depression: Credit market crises have negative supply-side effects as asymmetric information issues make access to credit harder and prevent firms from operating efficiently. In our model, we can capture this by positing that the shock x, instead of being purely independent from v and v*, depends on these variables: r = r (v, v*). In particular, suppose that, when v and * become negative (a global credit crisis), x becomes positive (a productivity loss). Suppose that parameter values are such that the overall response of monetary policy to the combination of velocity and productivity shocks in each country is expansionary in both the Nash equilibrium and the cooperative one. . How does the response to the combined shocks in the cooperative equilibrium differ from that in the Nash equilibrium (is it more or less expansionary)? . Why? Bottom line: Using a small extension to the Homework 4 problem and remembering what we learned from Ben Bernanke offers a possible explanation for why central banks may find it desirable to coordinate their responses to global credit crises
Step by Step Solution
There are 3 Steps involved in it
Get step-by-step solutions from verified subject matter experts
