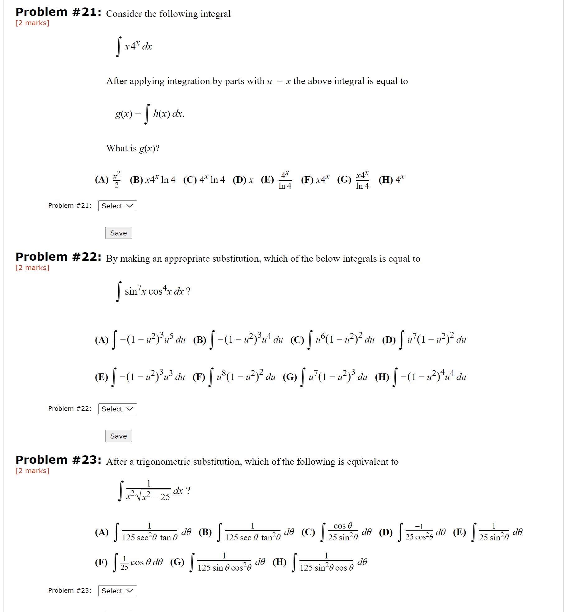
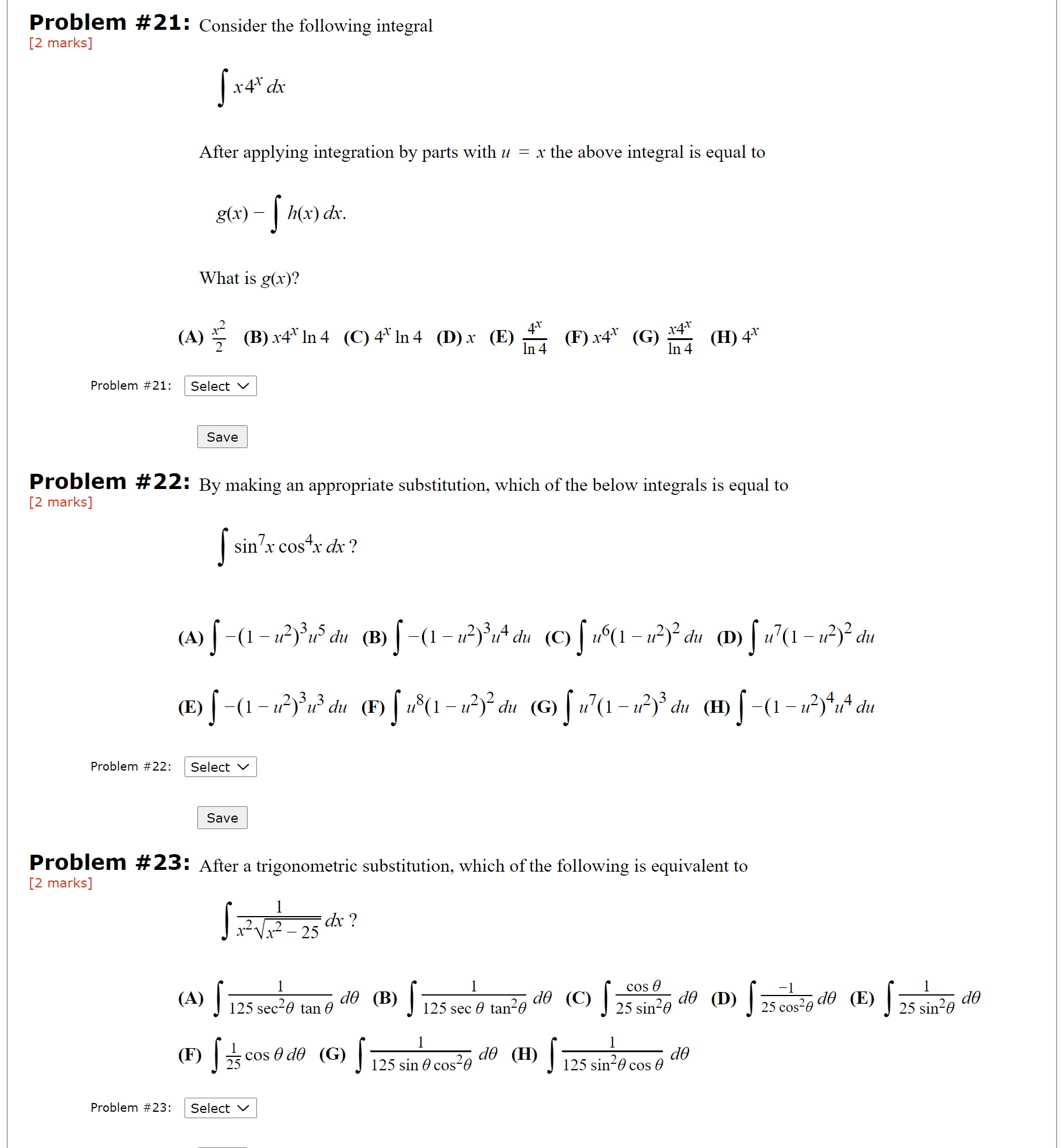
Question: Problem #21: Consider the following integral [2 marks] After applying integration by parts with u = x the above integral is equal to - [h(
![Problem #21: Consider the following integral [2 marks] After applying integration](https://s3.amazonaws.com/si.experts.images/answers/2024/06/66763226a4b6c_118667632266875d.jpg)

Problem #21: Consider the following integral [2 marks] After applying integration by parts with u = x the above integral is equal to - [h( x) dr. What is g(x)? (A) - (B) 14' In 4 (C) 4" In 4 (D) x (E ) TA (F) x4* (G) 14 In 4 ( H) 4 X Problem # 21: Select Save [2 marks] Problem #22: By making an appropriate substitution, which of the below integrals is equal to sin'x costx da ? Problem # 22: Select v Save [2 marks] Problem #23: After a trigonometric substitution, which of the following is equivalent to JAVA2 25 da ? 125 sec 20 tan e de (B) ) 125 sec 0 tan20" o de (C)2 cose 25 sin20 de (D) 25 coste do (E) 25 sin20 de (F) | 25 cos 0 de (G) 125 sin 0 cosze de (H) 125 sin-0 cos 0 Problem # 23: Select v
Step by Step Solution
There are 3 Steps involved in it
Get step-by-step solutions from verified subject matter experts
