Question: PROBLEM 3 : ( 2 5 points ) In this problem you will write all or part of two functions that sort an unsorted linked
PROBLEM : points
In this problem you will write all or part of two functions that sort an unsorted linked list into
descending order. You will write all of one function, InsertionListDescendinglter. This function uses the
insertion sort algorithm to sort the input linked list into a new linked list. You will also write two helper
functions to implement the selection sort algorithm SelectionListDescendingRec. The selection sort will
modify the input list. The prototype of these two sorting functions will be
LinkedList InsertionListDescendingIterconst LinkedList head;
void SelectionListDescendingRecconst LinkedList head;
To help you complete these tasks you will be supplied with a file containing the following framework:
the definitions of the LinkedList and LinkNode structures.
the implementations of two functions which you may use in your insertion sort function.
void insertListNodeLinkedList list, double val;
LinkedList createLinkedList;
the implementation of function SelectionListDescendingRec.
the implementation of other LinkedList functions that may be used in testing of your functions.
These functions may not be used within the functions you write.
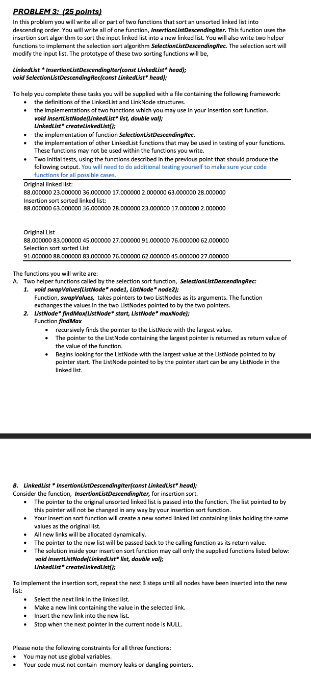
Two initial tests, using the functions described in the previous point that should produce the
following output. You will need to do additional testing yourself to make sure your code
functions for all possible cases.
Original linked list:
Insertion sort sorted linked list:
Original List
Selection sort sorted List
The functions you will write are:
A Two helper functions called by the selection sort function, SelectionListDescendingRec:
void swapValuesListNode node ListNode node;
Function, swapValues, takes pointers to two ListNodes as its arguments. The function
exchanges the values in the two ListNodes pointed to by the two pointers.
ListNode findMaxListNode start, ListNode maxNode;
Function findMax
recursively finds the pointer to the ListNode with the largest value.
The pointer to the ListNode containing the largest pointer is returned as return value of
the value of the function.
Begins looking for the ListNode with the largest value at the ListNode pointed to by
pointer start. The ListNode pointed to by the pointer start can be any ListNode in the
linked list.
B LinkedList InsertionListDescendinglterconst LinkedList head;
Consider the function, InsertionListDescendinglter, for insertion sort.
The pointer to the original unsorted linked list is passed into the function. The list pointed to by
this pointer will not be changed in any way by your insertion sort function.
Your insertion sort function will create a new sorted linked list containing links holding the same
values as the original list.
All new links will be allocated dynamically.
The pointer to the new list will be passed back to the calling function as its return value.
The solution inside your insertion sort function may call only the supplied functions listed below:
void insertListNodeLinkedList list, double val;
LinkedList createLinkedList;
To implement the insertion sort, repeat the next steps until all nodes have been inserted into the new
list:
Select the next link in the linked list.
Make a new link containing the value in the selected link.
Insert the new link into the new list.
Stop when the next pointer in the current node is NULL.
Please note the following constraints for all three functions:
You may not use global variables.
Your code must not contain memory leaks or dangling pointers.
THIS CODE SHOULD BE WRITTEN IN C
Step by Step Solution
There are 3 Steps involved in it
1 Expert Approved Answer
Step: 1 Unlock
Question Has Been Solved by an Expert!
Get step-by-step solutions from verified subject matter experts
Step: 2 Unlock
Step: 3 Unlock
