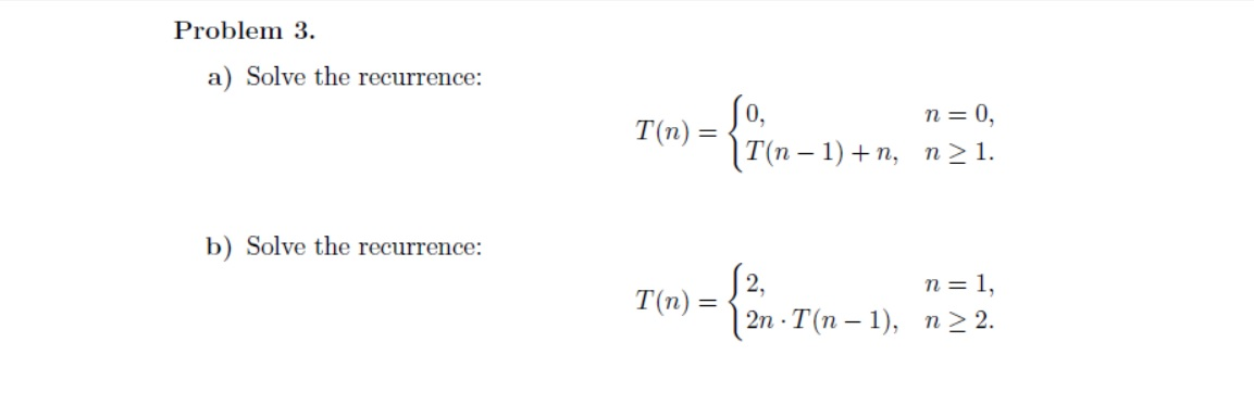
Question: Problem 3. a) Solve the recurrence: T(n) = Jo, n=0, T(m - 1) + m, n >1. b) Solve the recurrence: T(n) _92, 2nT m


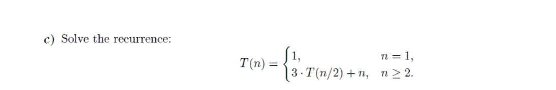
Problem 3. a) Solve the recurrence: T(n) = Jo, n=0, T(m - 1) + m, n >1. b) Solve the recurrence: T(n) _92, 2nT m =1, n> (n -1), II AI c) Solve the recurrence: 2 n/2) + n, n ILAI
Step by Step Solution
There are 3 Steps involved in it
Get step-by-step solutions from verified subject matter experts
