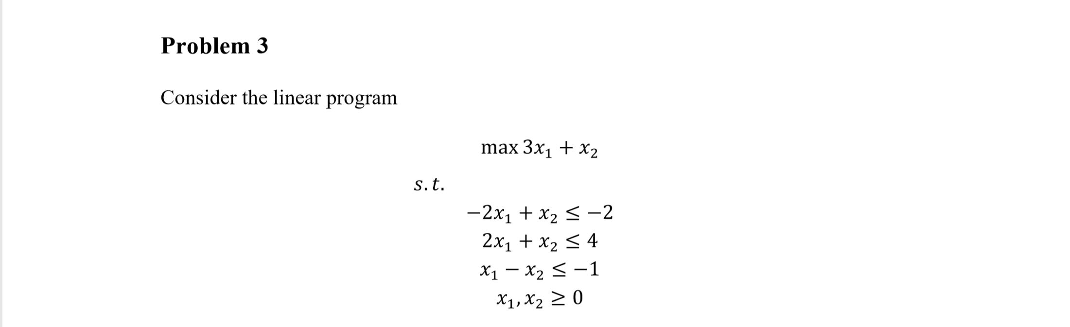
Question: Problem 3 Consider the linear program max 3x1 + x2 s.t. -2x1 + x2 0 3. Set up the Phase-I model. 4. Apply simplex algorithm


Step by Step Solution
There are 3 Steps involved in it
1 Expert Approved Answer
Step: 1 Unlock
Question Has Been Solved by an Expert!
Get step-by-step solutions from verified subject matter experts
Step: 2 Unlock
Step: 3 Unlock
