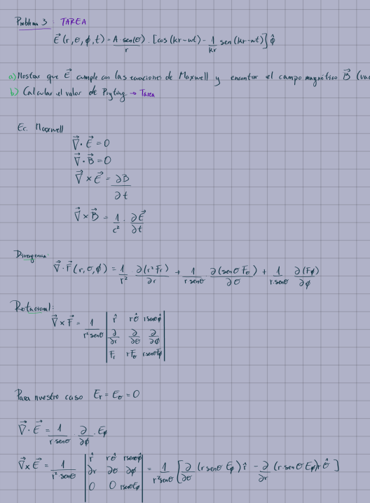
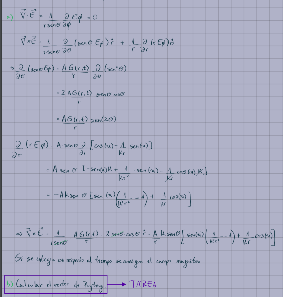
Question: Problem 3. TAREA E (r, E, $, t ) - A sealer). [cos (kr-wl) - 1 sen (kir at) ( Kr () lostrar que E


Problem 3. TAREA E (r, E, $, t ) - A sealer). [cos (kr-wl) - 1 sen (kir at) ( Kr () lostrar que E cumple con las canciones de Maxwell y Encontin el campo magnific B (wa by Calcular el valor de Payting - Tarea Er. Moorwell V. E = D V. B = 0 V X E - JD V X D - 1 DE V . F ( r. E. $ ) = 1 2 ( 12 F ) a ( =mote ) + 1 2 ( Fy ) ar Rotational: V X F = 1 ro 1woop d Para nuestro caso Er = ED = ( VE = 1 2 6. r Star V X E = ( rsent ( ) ? - 2 ( r sen E Er) e ] 0VESA DEJO rsome 30 VXE- A 2 ( SEND EX ) = A Glrit) 2 ( sen's ) = AG(rit) sen(20) 2 ( r E q ) = A send a [ costu) - 1 sent) ] ar Kr = A sen E I-sen(ugk + 1 . sen(u) - 1 csik) Kr 2 Kr = - Aksen = [ sen (u) ( 1 -+ 1 costus ] => V X E = A AG(r, t ). 2 send coser - A ksent [ sealy ) (1 1) + 1 costa)) rsent Kr Si se integra con respects al tiempo se consique el campo magnifico b ) Calcular el vector de Payting. - TAREA
Step by Step Solution
There are 3 Steps involved in it
Get step-by-step solutions from verified subject matter experts
