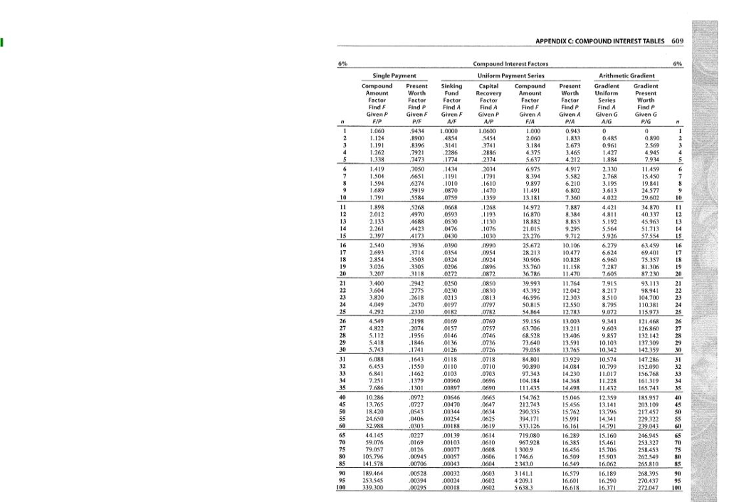
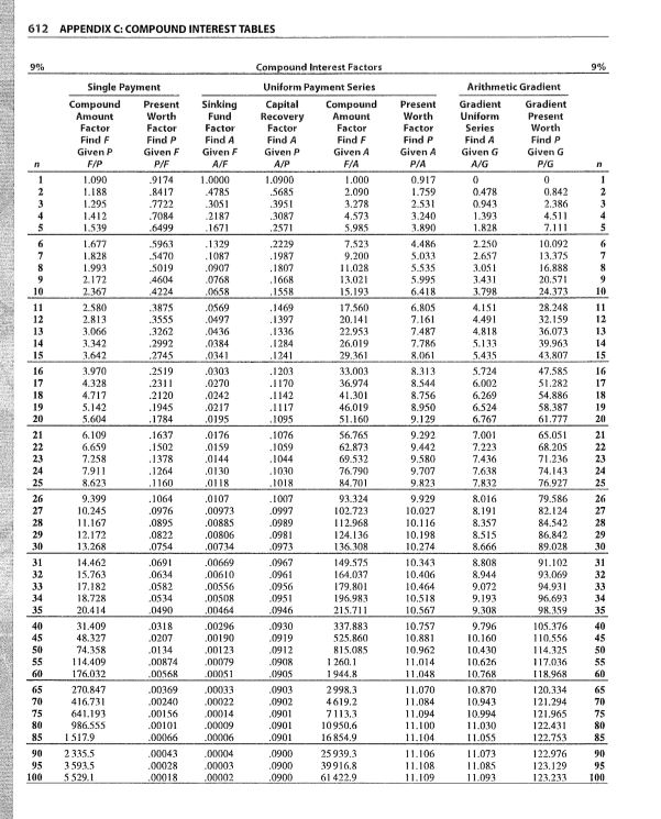
Question: Problem 3. Which process line (A or B) should be built for a new chemical?. The expected market for the chemical is 20 years. A



Problem 3. Which process line (A or B) should be built for a new chemical?. The expected market for the chemical is 20 years. A 9% annual rate is used to evaluate the new process facilities, which are compared with present worth. How much does the better choice save in terms of present value?. For your calculations in parts (a),(b) and (c) use the LCM method. Alternative $18M $26M First cost $5M Annual O&M cost $6M $6M $5M Salvage value Life 10 years 20 years (a) (10 pts) Calculate the present worth of process line A. (b) (10 pts) Calculate the present worth of process line B. (c) (5 pts) Which process line should be selected and how much can be saved
Step by Step Solution
There are 3 Steps involved in it
Get step-by-step solutions from verified subject matter experts
