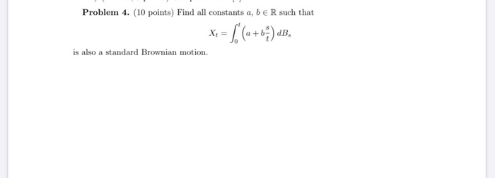
Question: Problem 4. (10 points) Find all constants a, b ER such that X = f (a+b) dB, is also a standard Brownian motion. Problem 4.
Problem 4. (10 points) Find all constants a, b ER such that X = f (a+b) dB, is also a standard Brownian motion. Problem 4. (10 points) Find all constants a, b ER such that X = f (a+b) dB, is also a standard Brownian motion
Step by Step Solution
There are 3 Steps involved in it
Get step-by-step solutions from verified subject matter experts
