Question: Problem 4 (15 points). Consider system (1) and let to = 0. Suppose the system is uniformly exponentially stable and V 2 0: ||A(t)||, 0.

 Problem 4 (15 points). Consider system (1) and let to =

0. Suppose the system is uniformly exponentially stable and V 2 0:

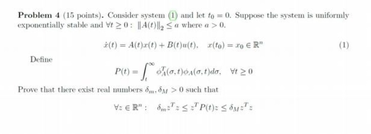
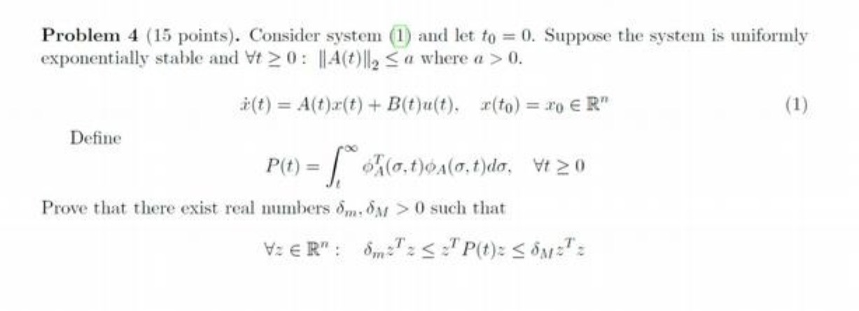
Problem 4 (15 points). Consider system (1) and let to = 0. Suppose the system is uniformly exponentially stable and V 2 0: ||A(t)||, 0. i(t) = A(t)x(t) + B(t)u(t), x(to) = No ER" (1) Define P(t) = " (a,t)A(o, t)do, Vt 20 Prove that there exist real numbers om, by/ > 0 such that

Step by Step Solution

There are 3 Steps involved in it

1 Expert Approved Answer
Step: 1 Unlock blur-text-image
Question Has Been Solved by an Expert!

Get step-by-step solutions from verified subject matter experts

Step: 2 Unlock
Step: 3 Unlock

Students Have Also Explored These Related Economics Questions!