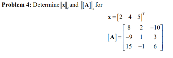
Question: Problem 4: Determine || || and || A||| for x = [2 4 5) 8 2 -10 [A]= -9 1 3 15 -1 6

Step by Step Solution
There are 3 Steps involved in it
1 Expert Approved Answer
Step: 1 Unlock
Question Has Been Solved by an Expert!
Get step-by-step solutions from verified subject matter experts
Step: 2 Unlock
Step: 3 Unlock
