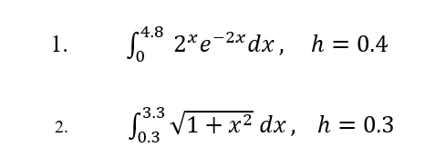
Question: Problem 4. (Evaluate the integrals using the self-developed Matlab programs that use a) Midpoint rule with the space between points, h=0.4. b) Trapezoidal rule with
Problem 4. (Evaluate the integrals using the self-developed Matlab programs that use a) Midpoint rule with the space between points, h=0.4. b) Trapezoidal rule with the space between points, h=0.4. c) Find the percentage relative error in each case.
Note: Matlab program

1. $4.8 2*e=2*dx, h = 0.4 2. $3V1 + x2 dx, h = 0.3
Step by Step Solution
There are 3 Steps involved in it
Get step-by-step solutions from verified subject matter experts
