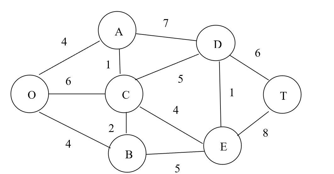
Question: Problem 5 (25 points) Consider the following network where the numbers represent actual distances between corresponding nodes. (a) Use Dijkstras algorithm to find the shortest
Problem 5 (25 points)
Consider the following network where the numbers represent actual distances between corresponding nodes.

(a) Use Dijkstras algorithm to find the shortest path(s) from O to T.
(b) Use the algorithm for the minimum spanning tree problem to determine the optimal spanning tree(s) and the total distance.
- Assuming that the numbers on the arcs represent arc capacities,
- Use the augmenting path algorithm to find the maximum flow from O to T. Then determine the flows on the arcs that will render the maximum flow.
- Find a cut whose capacity equals the maximum flow.
- Assume that the numbers on the arcs represent unit shipping costs and there is a source supplying 15 units at node O and a sink requiring 10 units at node T, while all other nodes are transshipment nodes. Also assume that, instead of being undirected, all arcs are directed according to edge set E = {OA, OC, OB, AC, BC, AD, CD, CE, BE, ED, DT, ET}. For example, there is an edge directed from node B to node C but not from C to B.
Write the flow balance equations for node O, C, and T of the corresponding minimum cost network flow problem.
A 4 D 6 6 4 8 4 E B 5Step by Step Solution
There are 3 Steps involved in it
Get step-by-step solutions from verified subject matter experts
