Question: Problem #5 A study was performed concerning risk factors for carotid artery stenosis among men bom in 1914 residing in Mexico City. The data reported

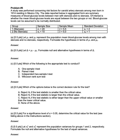
Problem #5 A study was performed concerning risk factors for carotid artery stenosis among men bom in 1914 residing in Mexico City. The data reported below in aggregated form are summary measures of blood-glucose levels between men with stenosis and no stenosis. Of interest is whether the mean blood-glucose levels are equal between the two groups or not. Blood-glucose levels can be assumed to be normally distributed. Group Sample Size Sample Mean Standard Deviation 1 (Stenosis) 01 = 20 y = 5.5 $1 = 2 2 (No Stenosis n2 = 10 x = 5.0 $ = 1 (a) [0.5 pts] Let / and us represent the population mean blood-glucose levels among men with stenosis and no stenosis, respectively. Formulate the hypotheses in terms of / and J. Answer: (b) [0.5 pts] Let A = 1 - /2. Formulate null and alternative hypotheses in terms of A. Answer: (c) [0.5 pts] Which of the following is the appropriate test to conduct? A. One-sample t-test B. Paired t-test . Independent two-sample t-test D. Wilcoxon rank sum test Answer: (d) [0.5 pts] Which of the options below is the correct decision rule for the test? A. Reject / if the test statistic is smaller than the critical value. B. Reject Ho if the test statistic is larger than the critical value. C. Reject Ho if the test statistic is either larger than the upper critical value or smaller than the lower critical value. D. None of the above. Answer: (e) [0.5 pts] For a significance level of a = 0.05, determine the critical value for the test (see listing above in the Instructions section). Answer: (f) [0.5 pts] Let of and of represent the population variances for groups 1 and 2, respectively. Formulate the null and alternative hypotheses for the test of equal variances
Step by Step Solution
There are 3 Steps involved in it
Get step-by-step solutions from verified subject matter experts
