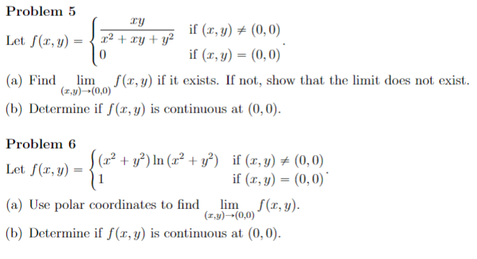
Question: Problem 5 cy if (x, y) # (0, 0) Let f(x, y) = r2 + ry + 2 if (x, y) = (0, 0) (a)


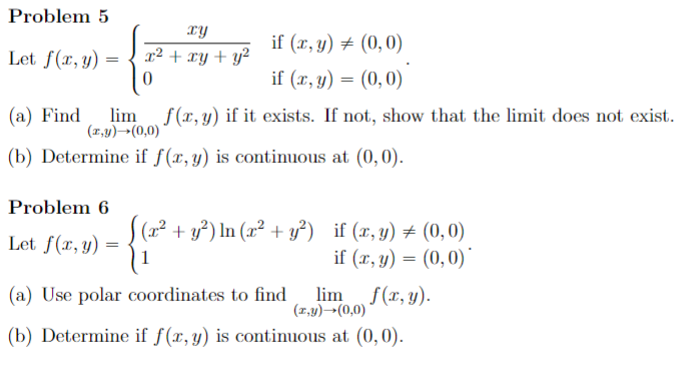
Problem 5 cy if (x, y) # (0, 0) Let f(x, y) = r2 + ry + 2 if (x, y) = (0, 0) (a) Find lim f(x, y) if it exists. If not, show that the limit does not exist. (z,y)-(0,0) (b) Determine if f(x, y) is continuous at (0, 0). Problem 6 Let f(x, y) = (x2 + y?) In (x2 + y?) if (x,y) # (0,0) if (x, y) = (0,0) (a) Use polar coordinates to find lim f(x, y). (I,y) -(0,0) (b) Determine if f(x, y) is continuous at (0, 0)
Step by Step Solution
There are 3 Steps involved in it
Get step-by-step solutions from verified subject matter experts
