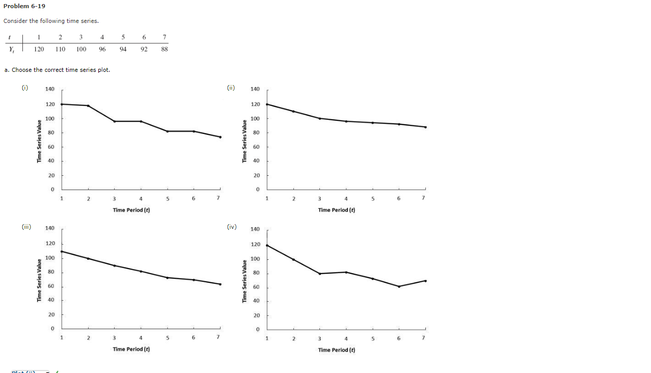
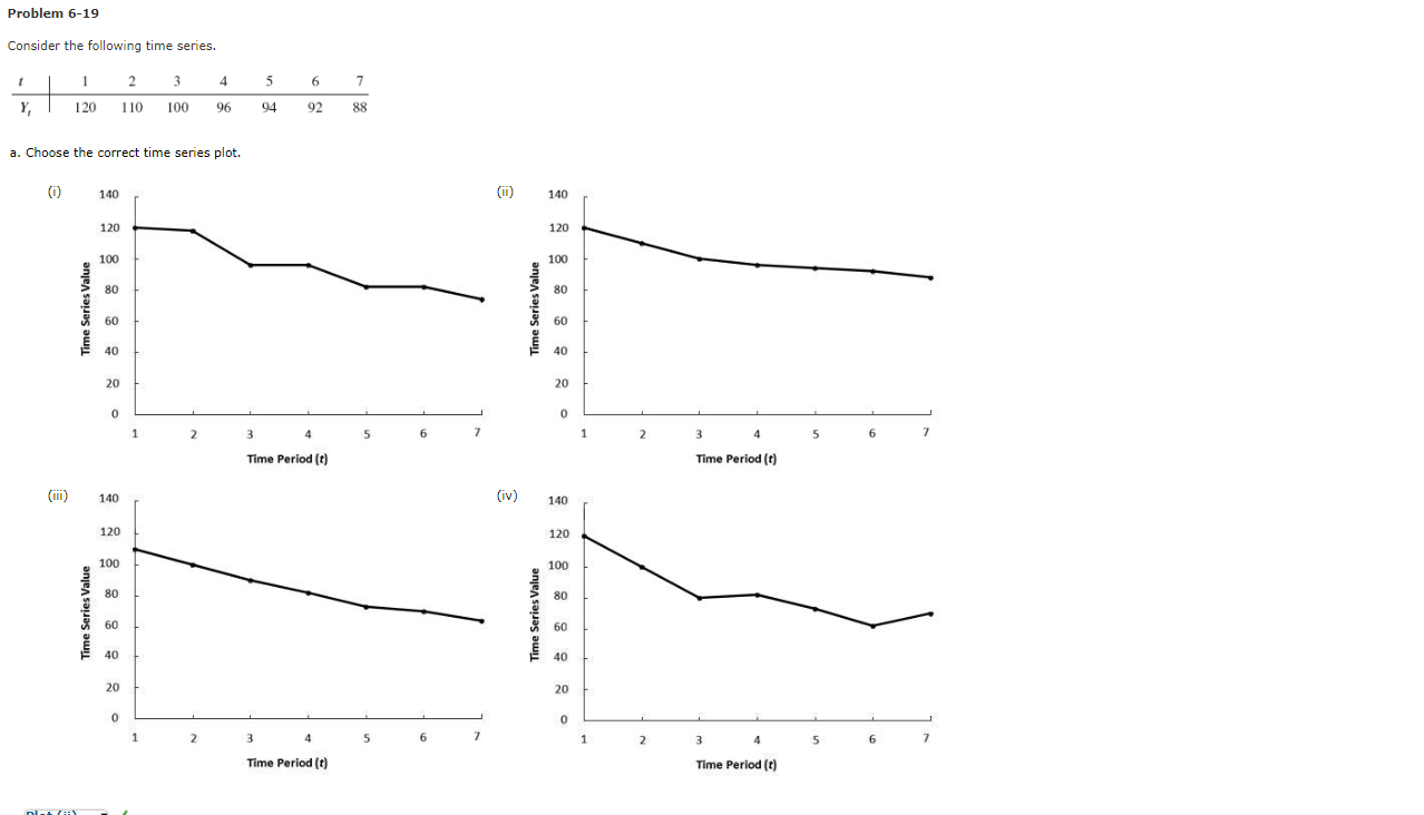
Question: Problem 6-19 Consider the following time series. 2 3 4 5 6 7 Y. 120 110 100 96 94 92 88 a. Choose the correct




Problem 6-19 Consider the following time series. 2 3 4 5 6 7 Y. 120 110 100 96 94 92 88 a. Choose the correct time series plot. (i) (ii) 140 140 120 120 100 100 80 80 Time Series Value Time Series Value 60 60 40 40 20 20 0 7 1 2 3 5 6 2 3 5 6 Time Period (t) Time Period (t) (iii) (iv) 140 140 120 120 100 100 80 80 Time Series Value Time Series Value 60 60 40 40 20 20 2 3 6 5 5 Time Period (t) Time Period (t)
Step by Step Solution
There are 3 Steps involved in it
1 Expert Approved Answer
Step: 1 Unlock
Question Has Been Solved by an Expert!
Get step-by-step solutions from verified subject matter experts
Step: 2 Unlock
Step: 3 Unlock
