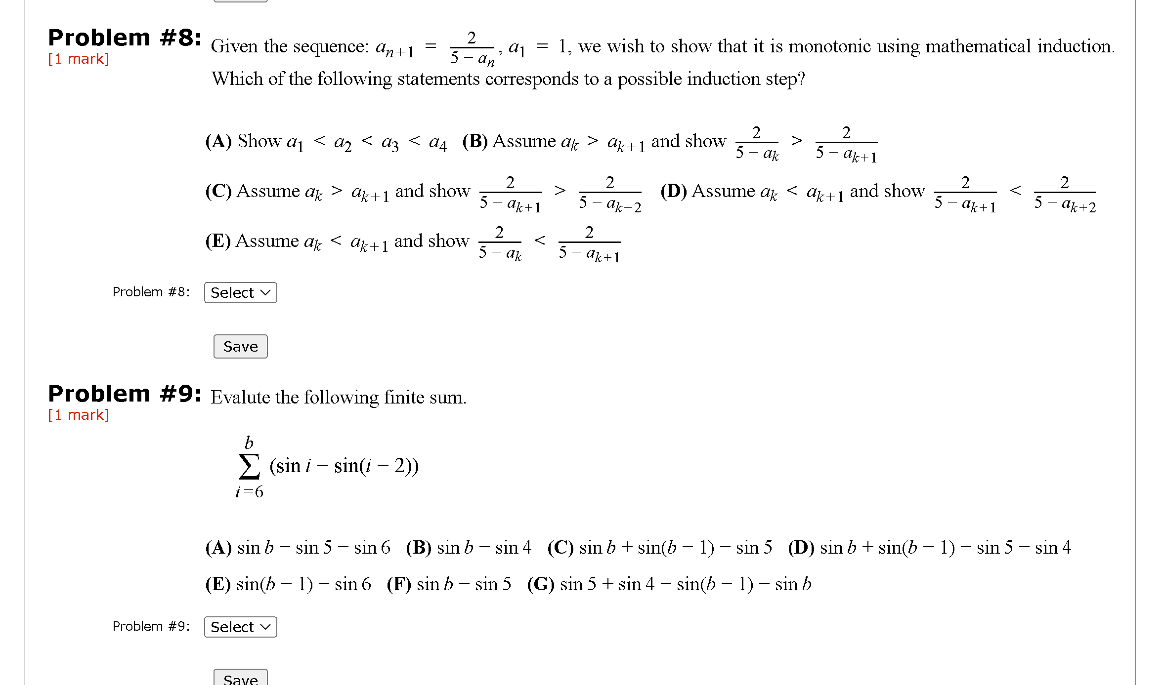
Question: Problem #8: Given the sequence: an+1 - 5 -an 2 a1 = 1, we wish to show that it is monotonic using mathematical induction. [1

Problem #8: Given the sequence: an+1 - 5 -an 2 a1 = 1, we wish to show that it is monotonic using mathematical induction. [1 mark] Which of the following statements corresponds to a possible induction step? 2 > 2 (A) Show al ak + 1 and show 5 - 5 - ak+ 1 2 2 2 ak+ 1 and show > 3 - ak+ 1 3 - ak+ 2 (D) Assume ak
Step by Step Solution
There are 3 Steps involved in it
Get step-by-step solutions from verified subject matter experts
