Question: Problem 9-01 (Algorithmic) The Mohawk Discount Store is designing a management training program for individuals at its corporate headquarters. The company wants to design the
Problem 9-01 (Algorithmic)
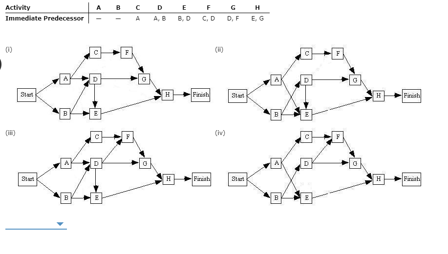
The Mohawk Discount Store is designing a management training program for individuals at its corporate headquarters. The company wants to design the program so that trainees can complete it as quickly as possible. Important precedence relationships must be maintained between assignments or activities in the program. For example, a trainee cannot serve as an assistant to the store manager until the trainee has obtained experience in the credit department and at least one sales department. The following activities are the assignments that must be completed by each trainee in the program. Choose the correct project network for this problem. Do not perform any further analysis.

Step by Step Solution
There are 3 Steps involved in it
Get step-by-step solutions from verified subject matter experts
