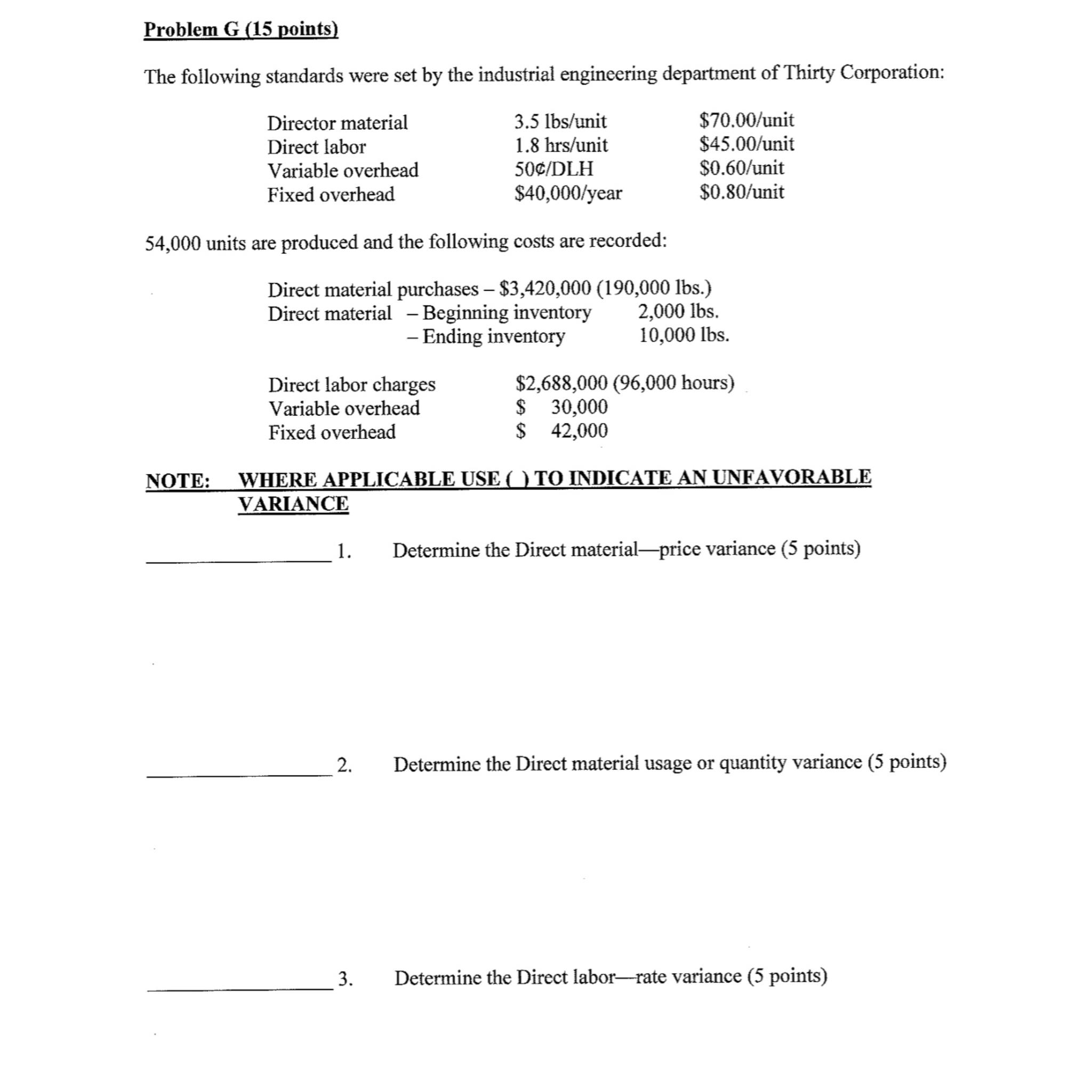
Question: Problem G (15 points) The following standards were set by the industrial engineering department of Thirty Corporation: Director material 3.5 lbs/unit $70.00/unit Direct labor
Problem G (15 points) The following standards were set by the industrial engineering department of Thirty Corporation: Director material 3.5 lbs/unit $70.00/unit Direct labor 1.8 hrs/unit $45.00/unit Variable overhead Fixed overhead 50/DLH $40,000/year $0.60/unit $0.80/unit 54,000 units are produced and the following costs are recorded: Direct material purchases - $3,420,000 (190,000 lbs.) Direct material - Beginning inventory 2,000 lbs. - Ending inventory NOTE: 10,000 lbs. Direct labor charges $2,688,000 (96,000 hours) Variable overhead $ 30,000 $ 42,000 Fixed overhead WHERE APPLICABLE USE ( ) TO INDICATE AN UNFAVORABLE VARIANCE 1. Determine the Direct material-price variance (5 points) 2. Determine the Direct material usage or quantity variance (5 points) 3. Determine the Direct laborrate variance (5 points)
Step by Step Solution
There are 3 Steps involved in it
Get step-by-step solutions from verified subject matter experts
