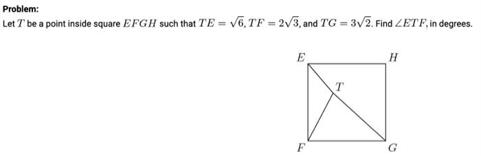
Question: Problem: Let 7' be a point inside square EFG / such that TE = v6, TF = 2v3, and TG = 3v2. Find ZET F,

Step by Step Solution
There are 3 Steps involved in it
Get step-by-step solutions from verified subject matter experts
