Question: Problems 4, 5, & 6 4. A sociologist develops a test to measure attitudes about public transportation, and 27 randomly selected subjects are given the

Problems 4, 5, & 6

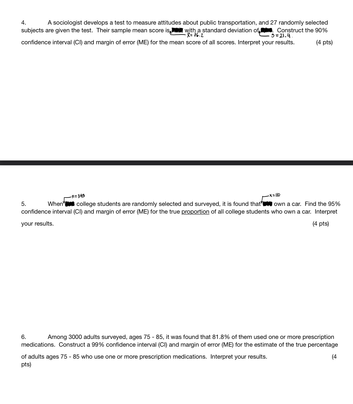
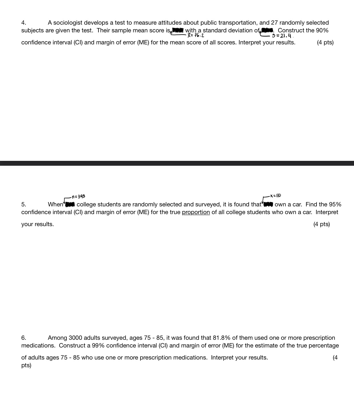
4. A sociologist develops a test to measure attitudes about public transportation, and 27 randomly selected subjects are given the test. Their sample mean score is in with a standard deviation of *. Construct the 90% LK=c.z Loam. confidence interval {CI} and margin of error {ME} for the mean score of all scores. Interpret your results. (4 pts} ran: 3"? x- Ill) 5. When u college students are randomly selected and surveyed, it is found thatl; own a car. Find the 95% confidence interval {CI} and margin of error {ME} for the true mportion of all college students who own a car. Interpret our results. 4 ts Y P 6. Among 3000 adults surveyed, ages 75 - 85, it was found that 81 .8% of them used one or more prescription medications. Construct a 99% confidence interval {CI} and margin of error {ME} for the estimate of the true percentage of adults ages 75 - 85 who use one or more prescription medications. Interpret your results. (4 pts}
Step by Step Solution
There are 3 Steps involved in it
Get step-by-step solutions from verified subject matter experts
