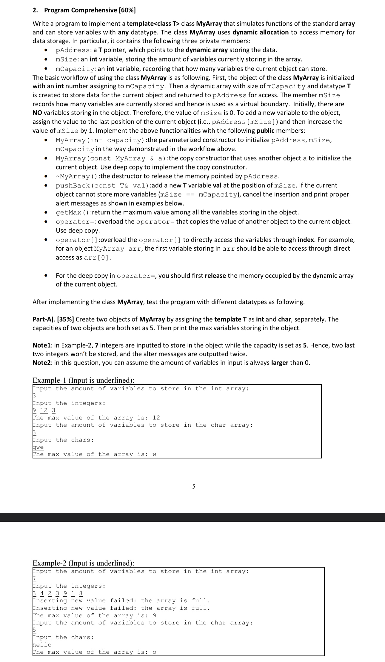
Question: Program Comprehensive [ 6 0 % ] Write a program to implement a templateTmSiT&getMaxT
Program Comprehensive
Write a program to implement a templateTmSiT&getMaxT
Step by Step Solution
There are 3 Steps involved in it
1 Expert Approved Answer
Step: 1 Unlock
Question Has Been Solved by an Expert!
Get step-by-step solutions from verified subject matter experts
Step: 2 Unlock
Step: 3 Unlock
