Question: Programming in C, you will implement Vigenere encryption and decryption with Cipher Block Chaining (CBC). The inputs to the encryption algorithm include Vigenere key,
Programming in C, you will implement Vigenere encryption and decryption with Cipher Block Chaining (CBC). \
The inputs to the encryption algorithm include Vigenere key, initial vector (IV) and plaintext and the inputs to the decryption algorithm include Vigenere key, IV and cyphertext
The encipher program will be run first. When encrypting, the encipher program will take inputs including plaintext, key and IV. The encipher encrypts the plaintext with the key & IV, and generate a file to store the ciphertext. Then when the decipher program is run, the ciphertext file will be used as input along with key & IV. The decipher program decrypts the ciphertext to recover the plaintext.
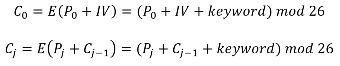
the encryption of Vigenere with CBC can be expressed as:

decryption of Vigenere with CBC as:

The outputs of the encipher program should include the following:
Key
IV(initial vector)
Block size
Plaintext (after preprocessing) printed on the screen
Number of characters in plaintext (before padding)
Ciphertext printed on the screen
Name of ciphertext file (ciphertext saved to a file)
Number of padding characters
The ciphertext file will be used as one of the inputs to the decipher. The outputs of the decipher program should include the following:
Ciphertext file name
Number of characters in ciphertext
Recovered plaintext printed on the screen
Co = E (Po + IV) = (Po + IV + keyword) mod 26 Gj = E (P, + Cj-1)-(P, + Cj-1-keyword) mod 26
Step by Step Solution
There are 3 Steps involved in it
Get step-by-step solutions from verified subject matter experts
