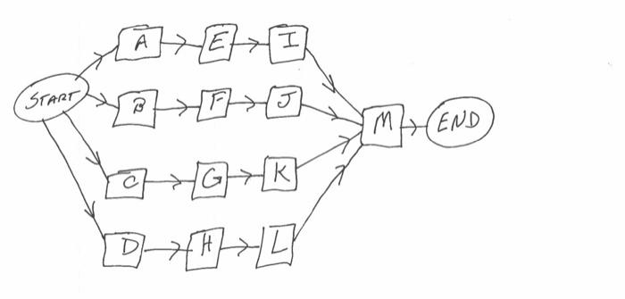
Question: project management 485 - information logistic answer the question step-by-step clearly don't forget anything with a clear font a. Find and label each path for
project management 485 - information logistic
answer the question step-by-step clearly don't forget anything with a clear font


Step by Step Solution
There are 3 Steps involved in it
Get step-by-step solutions from verified subject matter experts
