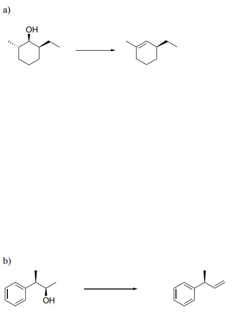
Question: Propose a sequence of reactions that efficiently converts the given starting material(s) to the target molecule. Draw the structure of the product formed after each

Propose a sequence of reactions that efficiently converts the given starting material(s) to the target molecule. Draw the structure of the product formed after each synthetic step. Do not write mechanisms.
b)
Step by Step Solution
There are 3 Steps involved in it
1 Expert Approved Answer
Step: 1 Unlock
Question Has Been Solved by an Expert!
Get step-by-step solutions from verified subject matter experts
Step: 2 Unlock
Step: 3 Unlock
