Question: prove the following using mathematical induction EXAMPLE 1 Prove that, for any positive integer n, 1+ 2+ 3+...+ /= n(n +1) 2 Solution: n 1+



prove the following using mathematical induction



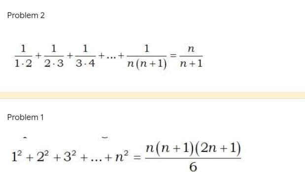
EXAMPLE 1 Prove that, for any positive integer n, 1+ 2+ 3+...+ /= n(n +1) 2 Solution: n 1+ 2 13 +. .. + 10 = 10 (10+1) Step 1: P (1 ) 2 1 = 1(1+1) = 10 ( 11 ) 2 2 1 = 1(2) 55 2 1 = 2 -Problem 2 1 1 n + + + ...+ 1.2 2.3 3.4 n(n+1) n+1 Problem 1 12 + 22 + 32 + ... + 12 = n(n +1)(2n + 1 6EXAMPLE 1 n(n +1) TRU: Prove that, for any positive integer n, 1+ 2+ 3+... + /= 2 Solution (Continuation): K (K+1 ) 2 ( K +1] ( K+1 ) (k+2 ) Assume n= k + = 2 2 2 1 + 2 + 3 + . .. + K = K ( K+1) 2 + 2 / k + 1 ) ( K + 1 ) (k+2 ) Assume (K + 1 ) 2 2 1 + 2 + 3 + .. . + K + K+) = (K +1) (K+2 ) (K +1 ) (K+2) ( K+1) ( K+ 2 ) 2 2 2 k (K+ 1 ) +K+1 = (K+1 ) (K+2 ) 2 2
Step by Step Solution
There are 3 Steps involved in it
Get step-by-step solutions from verified subject matter experts
