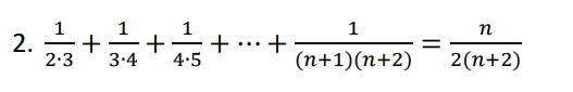
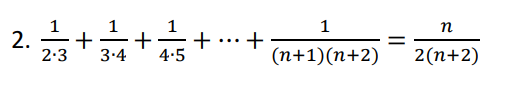
Question: Prove the statement using mathematical induction for all positive integers n. Write your answer in a clean paper and take a photo of it. Show

Prove the statement using mathematical induction for all positive integers n. Write your answer in a clean paper and take a photo of it. Show the complete proof.

Step by Step Solution
There are 3 Steps involved in it
Get step-by-step solutions from verified subject matter experts
