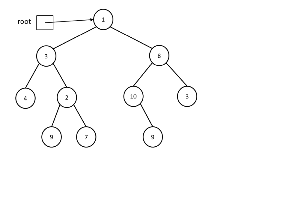
Question: public class TestNode{ public static mystery (Node root){ if(root == null){return;} if(root.data%2==0 || root.data3){ mystery(root.right); } System.out.println(root.data); } public static void main (String[] args){ System.out.println(mystery(root));
public class TestNode{ public static mystery (Node root){ if(root == null){return;} if(root.data%2==0 || root.data3){ mystery(root.right); } System.out.println(root.data); } public static void main (String[] args){ System.out.println(mystery(root)); } } 
What is the putput if we call mystery(root) where root is shown in the diagram
root 4 10 7
Step by Step Solution
There are 3 Steps involved in it
1 Expert Approved Answer
Step: 1 Unlock
Question Has Been Solved by an Expert!
Get step-by-step solutions from verified subject matter experts
Step: 2 Unlock
Step: 3 Unlock
