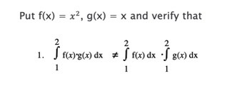
Question: Put f(x) = x2, g(x) = x and verify that 2 SN 1. f(x)g(x) dx # f(x) dx g(x) dx


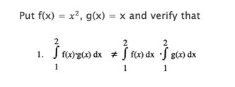
Put f(x) = x2, g(x) = x and verify that 2 SN 1. f(x)g(x) dx # f(x) dx g(x) dx
Step by Step Solution
There are 3 Steps involved in it
1 Expert Approved Answer
Step: 1 Unlock
Question Has Been Solved by an Expert!
Get step-by-step solutions from verified subject matter experts
Step: 2 Unlock
Step: 3 Unlock
