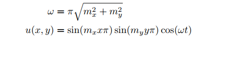
Question: Python I would like to know how to plot these above as Python language. Please code them in python. w=TV m2 + mz u(x, y)
Python

I would like to know how to plot these above as Python language. Please code them in python.
w=TV m2 + mz u(x, y) = sin(mzXT) sin(myyn) cos(wt) w=TV m2 + mz u(x, y) = sin(mzXT) sin(myyn) cos(wt)
Step by Step Solution
There are 3 Steps involved in it
Get step-by-step solutions from verified subject matter experts
