Question: Python Linear Algebra: Hi, I need help with the following python questions. If you can help with at least 1 or 2 that would be
Python Linear Algebra:
Hi, I need help with the following python questions. If you can help with at least 1 or 2 that would be great too. Thanks in advance! 

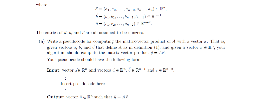
The banded, upper triangular matrix A E Rn*can be written as 1 C1 a2 b2 C2 03 C3 an-2 bn-2 cn-2 an-1 0n-1 an
Step by Step Solution
There are 3 Steps involved in it
Get step-by-step solutions from verified subject matter experts
