Question: PYTHON Problem Please Help write this program in PYTHON, will upvote, thank you! Write a simple function with command structure of the form [p] =
PYTHON Problem
Please Help write this program in PYTHON, will upvote, thank you!
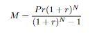
Write a simple function with command structure of the form [p] = mortgage(P, R, N) where the input parameters are the initial amount of the loan P, the annual percentage interest rate R, and the total number of monthly payments N, and the output p is a vector of N+1 elements containing the amount owed to the bank at the beginning of each month after making the mortgage payment for the month.The first entry of p should be P. and the last entry should be 0 or negative. Assume that the mortgage payment M is the same every month. You should calculate this amount in your program using the closed form solution in equation (1.6)
(a) Use the mortgage program created above to determine the total savings possible by paying off a 30-year, $300,000 loan at the annual interest rate of 2.75% in 15 years. (Assume that instead of the monthly payment for the 30-year loan, you will pay a fixed amount more each month to make the 15-year pay off possible.) (b) Now suppose that the bank allowed you to repay the loan in two-week installments, and the bank calculates the interest rate for two weeks as (1/26)th of the annual interest rate R. Assume also that the biweekly payment is half the monthly payment for the thirty- year loan. How much will you save over the life of the biweekly loan when compared with the thirty-year loan?
N M M Pr(1+r) (1+r)-1
Step by Step Solution
There are 3 Steps involved in it
Get step-by-step solutions from verified subject matter experts
