Question: [Python] Write code that describes the motion of a particle through a magnetic field produced by a set of 2 helmholtz coils (radius is .1
[Python]
Write code that describes the motion of a particle through a magnetic field produced by a set of 2 helmholtz coils (radius is .1 m, 10A running through, 100 turns of wire). Do this by writing a function that return the time derivative of the ordinary differential equation for a magnetic field through a set of coils. Solve the ODE by using the odeint function. Make sure to include the magnetic force produced on the particle. When this is finished, create a 2D (or 3D) animation of the system.
Magnetic field equation (dB/dt): ![[Python] Write code that describes the motion of a particle through a](https://dsd5zvtm8ll6.cloudfront.net/si.experts.images/questions/2024/09/66f3b05cb37bf_42866f3b05c556bb.jpg)
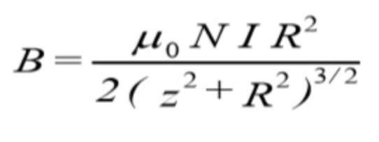
Magnetic force (dF/dt):

M.NIR B= 2(-2+R)3/2 F = q x B M.NIR B= 2(-2+R)3/2 F = q x B
Step by Step Solution
There are 3 Steps involved in it
Get step-by-step solutions from verified subject matter experts
