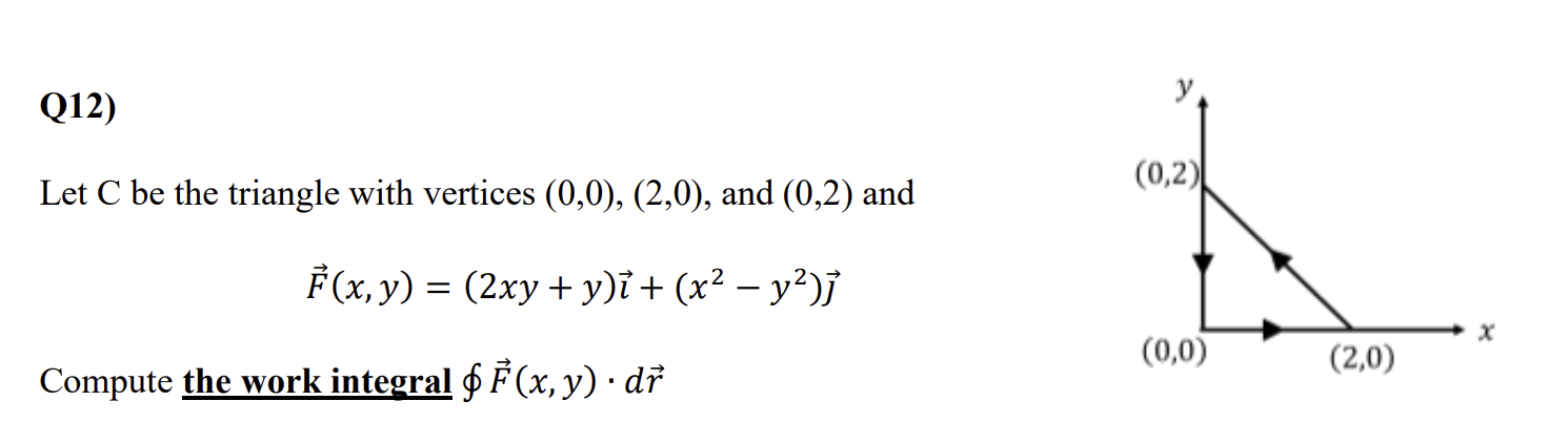
Question: Q 1 2 ( 0 , 0 ) , ( 2 , 0 ) , and ( 0 , 2 ) and vec ( F
and and
vec
Compute the work integral vec
Step by Step Solution
There are 3 Steps involved in it
1 Expert Approved Answer
Step: 1 Unlock
Question Has Been Solved by an Expert!
Get step-by-step solutions from verified subject matter experts
Step: 2 Unlock
Step: 3 Unlock
