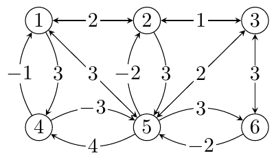
Question: Q 2 Floyd - Warshall algorithm Execute the Floyd - Warshall algorithm on the directed graph below. For every pair of vertices u and v
Q FloydWarshall algorithm
Execute the FloydWarshall algorithm on the directed graph below. For every pair of vertices u and v give the distances delta uv and delta vu Give the shortest paths from to and from to as
sequence of vertices.
QRow
Give the distances from vertex to all six vertices in the graph, separated by single blank symbols. That is the first entry should be the distance from to the second from to the third from to the forth from to the fifth from to and the sixth from to
Q Row
Give the distances from vertex to all six vertices in the graph, separated by single blank symbols.
QRow
Give the distances from vertex to all six vertices in the graph, separated by single blank symbols.
Q Row
Give the distances from vertex to all six vertices in the graph, separated by single blank symbols.
Q Row
Give the distances from vertex to all six vertices in the graph, separated by single blank symbols.
Q Row
Give the distances from vertex to all six vertices in the graph, separated by single blank symbols.
Q Path from to
Give the shortest path from to as commaseparated sequence of vertices, enclosed in and but without blank symbols.
Q Path from to
Give the shortest path from to as commaseparated sequence of vertices, enclosed in and but without blank symbols.
Step by Step Solution
There are 3 Steps involved in it
1 Expert Approved Answer
Step: 1 Unlock
Question Has Been Solved by an Expert!
Get step-by-step solutions from verified subject matter experts
Step: 2 Unlock
Step: 3 Unlock
