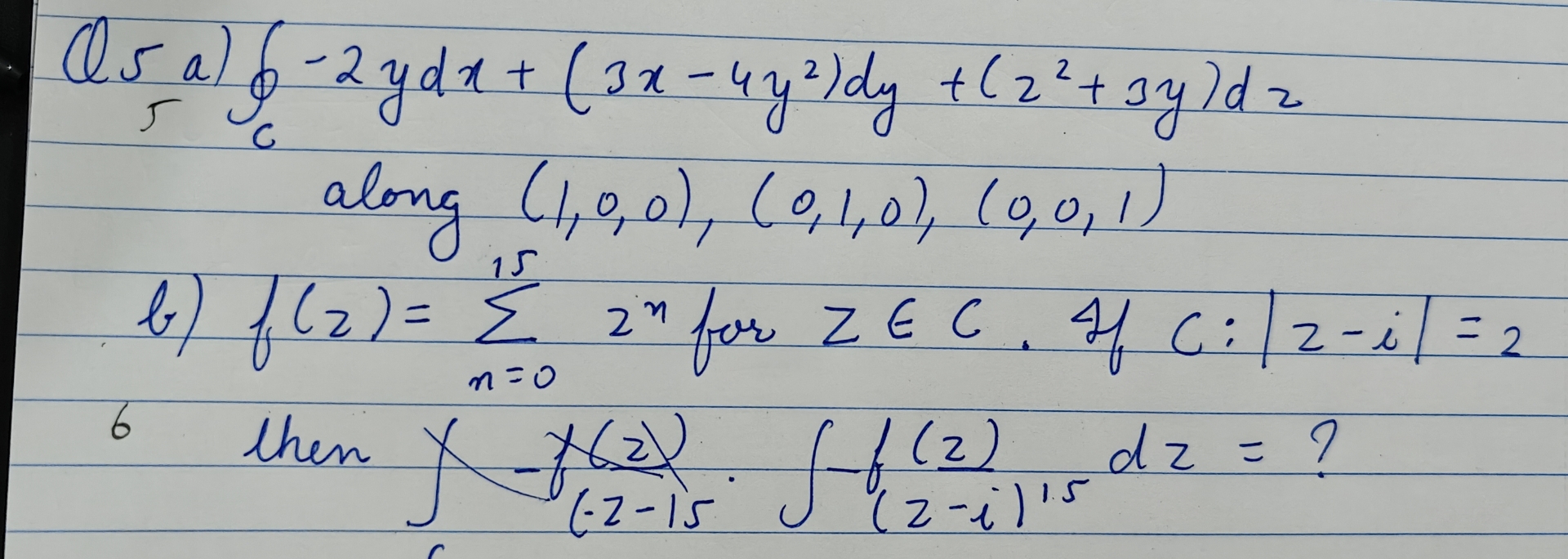
Question: Q 5 a ) o c - 2 y d x + ( 3 x - 4 y 2 ) d y + ( z
Q a along
b for zinC. If : then
please do parts A and B
Step by Step Solution
There are 3 Steps involved in it
1 Expert Approved Answer
Step: 1 Unlock
Question Has Been Solved by an Expert!
Get step-by-step solutions from verified subject matter experts
Step: 2 Unlock
Step: 3 Unlock
